Anhang I
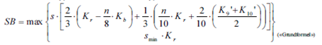
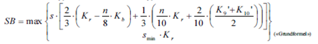
Berechnung des Steuerbetrages
wobei
K9' = Kr + Kr ・ r
K10' = Kr + Kr ・ 2 ・ r
___________________________________________________________________
Um Negativsteuern zu verhindern, gilt:
Falls , wird diese Größe gleich null gesetzt.
Der erhöhte Steuerbetrag SB' errechnet sich wie folgt:
Falls sl 0.30 (d.h. 30 %) und:
falls 2 Mio. Kr
4 Mio., dann gilt sl' = 0.32
falls 4 Mio. Kr
6 Mio., dann gilt sl' = 0.34
falls 6 Mio. Kr
8 Mio., dann gilt sl' = 0.36
falls 8 Mio. Kr, dann gilt sl' = 0.38
Artikel 8 Absatz 5 legt fest, dass die Einmalzahlung in Euro berechnet wird. Alle Betrage in diesem Anhang sind somit in Euro.
SB | Steuerbetrag |
SB' | Erhöhter Steuerbetrag |
s | Steuersatz (30 %) |
sl | Steuerbelastung |
sl' | Erhöhte Steuerbelastung |
Kr | Relevantes Kapital |
n | |
Kb | Kapitalbestand am Ende des Jahres, in dem die Bankbeziehung eröffnet wurde. Für Bankbeziehungen, die vor dem 01.01.2004 eröffnet wurden, ist der Kapitalbestand am 31.12.2003 maßgebend. |
i | |
Ki | Kapitalbestand am Ende des Jahres i |
K8 | Kapitalbestand am Ende des achten Jahres (31.12.2011) |
K10 | Kapitalbestand am Ende des zehnten Jahres (31.12.2013) |
K9', K10' | Fiktives Kapital am Ende des neunten (31.12.2012), resp. des zehnten Jahres (31.12.2013) |
R | Rendite (3 % per annum) |
Smin | Minimalsteuersatz (15 %) |
Zusatzdokumente: image001, image002, image003, image004, image005, image006, image007, image008, image009
Lizenziert vom RIS (ris.bka.gv.at - CC BY 4.0 DEED)
