vorheriges Dokument
nächstes Dokument

Anlage 8: Verpflichtung in Bezug auf den AEI IG-L

Aktuelle FassungIn Kraft seit 19.8.2010

Anlage 8: Verpflichtung in Bezug auf den AEI

zu § 3 Abs. 4, § 3a, § 7 Abs. 2 und § 9a Abs. 2

Als Verpflichtung in Bezug auf den AEI (§ 2 Abs. 23) gilt der Wert von 20 µg/m3. Der AEI wird berechnet als Durchschnittswert über alle Jahresmittelwerte der Messstellen, die gemäß der Verordnung gemäß § 4 zur Berechnung des AEI herangezogen werden.

Die Ausweisung der Überschreitung nach § 7 Abs. 2 wird für die folgenden Jahre geprüft und durchgeführt (die erste Prüfung wird ausnahmsweise nicht über einen Drei-, sondern über einen Zweijahreszeitraum durchgeführt):

  1. 1. 2009, 2010
  2. 2. 2009, 2010, 2011
  3. 3. 2010, 2011, 2012
  4. 4. 2011, 2012, 2013
  5. 5. 2012, 2013, 2014
  6. 6. 2013, 2014, 2015

Zur Berechnung der einzelnen Verpflichtungen wird folgender Algorithmus herangezogen:

(1) Die Durchschnittsmesswerte – berechnet über die jeweiligen Jahre – werden für alle Messstationen aufsteigend angeordnet. Die Zahl der Messstellen insgesamt ist g, die Zahl der Messstellen mit einem Durchschnittswert von maximal 20 µg/m³ ist r.

(2) Beginnend mit der Messstelle mit dem niedrigsten Durchschnittsmesswert über 20 µg/m³ wird für jedes j

j = r+1, r+2, …, g

der Reihe nach folgende Berechung durchgeführt:

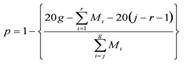
Mj … Durchschnittsmesswert über die jeweiligen Jahre an der Station j

(3) Nach jeder einzelnen Berechnung wird eine Fallunterscheidung durchgeführt:

(a) Sj < 20. In diesem Fall können die zu erreichenden Durchschnittswerte für 2013, 2014 und 2015 durch Senken der berechneten Durchschnittswerte der Messstationen von über 20 µg/m³ um den gleichen %-Satz derart verringert werden, dass der Durchschnitt 2013, 2014 und 2015 über alle Messstationen 20 µg/m³ beträgt:

Die zu erreichenden Durchschnittswerte für 2013, 2014 und 2015 sind dann um je 100p % geringer als die jeweiligen Durchschnittswerte im Zeitraum der Überschreitung.

(b) Sj = 20. In diesem Fall sollen die zu erreichenden Durchschnittswerte für 2013, 2014 und 2015 um 100 Xj % unter die jeweiligen Durchschnittswerte im Zeitraum der Überschreitung gesenkt werden.

(c) Sj > 20. In diesem Fall beträgt der für die Messstelle j zu erreichende Durchschnittswert für 2013, 2014 und 2015 20 µg/m³ und die Berechnung wird für die nächste Messstelle (j+1) nochmals durchgeführt.

Zuletzt aktualisiert am

15.04.2021

Gesetzesnummer

10011027

Dokumentnummer

NOR40120359

Lizenziert vom RIS (ris.bka.gv.at - CC BY 4.0 DEED)