Anlage 8: Verpflichtung in Bezug auf den AEI
zu § 3 Abs. 4, § 3a, § 7 Abs. 2 und § 9a Abs. 2
Als Verpflichtung in Bezug auf den AEI (§ 2 Abs. 23) gilt der Wert von 20 µg/m3. Der AEI wird berechnet als Durchschnittswert über alle Jahresmittelwerte der Messstellen, die gemäß der Verordnung gemäß § 4 zur Berechnung des AEI herangezogen werden.
Die Ausweisung der Überschreitung nach § 7 Abs. 2 wird für die folgenden Jahre geprüft und durchgeführt (die erste Prüfung wird ausnahmsweise nicht über einen Drei-, sondern über einen Zweijahreszeitraum durchgeführt):
- 1. 2009, 2010
- 2. 2009, 2010, 2011
- 3. 2010, 2011, 2012
- 4. 2011, 2012, 2013
- 5. 2012, 2013, 2014
- 6. 2013, 2014, 2015
Zur Berechnung der einzelnen Verpflichtungen wird folgender Algorithmus herangezogen:
(1) Die Durchschnittsmesswerte – berechnet über die jeweiligen Jahre – werden für alle Messstationen aufsteigend angeordnet. Die Zahl der Messstellen insgesamt ist g, die Zahl der Messstellen mit einem Durchschnittswert von maximal 20 µg/m³ ist r.
(2) Beginnend mit der Messstelle mit dem niedrigsten Durchschnittsmesswert über 20 µg/m³ wird für jedes j
j = r+1, r+2, …, g
der Reihe nach folgende Berechung durchgeführt:
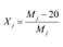
Mj … Durchschnittsmesswert über die jeweiligen Jahre an der Station j
(3) Nach jeder einzelnen Berechnung wird eine Fallunterscheidung durchgeführt:
(a) Sj < 20. In diesem Fall können die zu erreichenden Durchschnittswerte für 2013, 2014 und 2015 durch Senken der berechneten Durchschnittswerte der Messstationen von über 20 µg/m³ um den gleichen %-Satz derart verringert werden, dass der Durchschnitt 2013, 2014 und 2015 über alle Messstationen 20 µg/m³ beträgt:
Die zu erreichenden Durchschnittswerte für 2013, 2014 und 2015 sind dann um je 100p % geringer als die jeweiligen Durchschnittswerte im Zeitraum der Überschreitung.
(b) Sj = 20. In diesem Fall sollen die zu erreichenden Durchschnittswerte für 2013, 2014 und 2015 um 100 Xj % unter die jeweiligen Durchschnittswerte im Zeitraum der Überschreitung gesenkt werden.
(c) Sj > 20. In diesem Fall beträgt der für die Messstelle j zu erreichende Durchschnittswert für 2013, 2014 und 2015 20 µg/m³ und die Berechnung wird für die nächste Messstelle (j+1) nochmals durchgeführt.
Zuletzt aktualisiert am
15.04.2021
Gesetzesnummer
10011027
Dokumentnummer
NOR40120359
Lizenziert vom RIS (ris.bka.gv.at - CC BY 4.0 DEED)
