Kurztitel
Textilkennzeichnungsverordnung 1993
Kundmachungsorgan
BGBl. Nr. 890/1993 zuletzt geändert durch BGBl. Nr. 494/1995
§/Artikel/Anlage
Anl. 8
Inkrafttretensdatum
01.08.1995
Außerkrafttretensdatum
09.11.2014
Zusatzdokumente: image001, image002, image003, image004, image005, image006, image007, image008, image009
Anlage 8
(§ 5)
BEISPIELE FÜR DIE BERECHNUNG DER PROZENTUALEN ANTEILE BESTIMMTER TERNÄRER GEMISCHE UNTER BENUTZUNG DER UNTER PUNKT I.8.1 VON ANLAGE 7 BESCHRIEBENEN VARIANTEN
Es soll der Fall eines Fasergemischs behandelt werden, dessen qualitative Analyse folgende Bestandteile ergeben hat: 1. Wolle (Streichgarn); 2. Polyamid; 3. Rohbaumwolle.
VARIANTE 1
Arbeitet man mit dieser Variante, dh. mit zwei verschiedenen Analysenproben, wobei ein Bestandteil (a = Wolle) aus der ersten Probe und ein zweiter Bestandteil (b = Polyamid) aus der zweiten Probe herausgelöst wird, so erhält man folgende Ergebnisse:
- Trockenmasse der ersten Probe nach der Vorbehandlung (m1) = 1,6000 g
- Trockenmasse des Rückstands nach Behandlung mit alkalischem Natriumhypochlorit (Polyamid + Baumwolle) (r1) = 1,4166 g
- Trockenmasse der zweiten Probe nach der Vorbehandlung (m2) = 1,8000 g
- Trockenmasse des Rückstands nach Behandlung mit Ameisensäure (Wolle + Baumwolle) (r2) = 0,9000 g
Die Behandlung mit alkalischem Natriumhypochlorit verursacht keinerlei Massenverlust bei Polyamid, während die Rohbaumwolle 3% verliert, so daß d1 = 1,0 und d2 = 1,03 ist.
Die Behandlung mit Ameisensäure verursacht keinerlei Massenverlust bei Wolle und Rohbaumwolle, so daß d3 und d4 = 1,0 ist.
Setzt man in der Formel in Anlage 7 unter I.8.1.1 die durch chemische Analyse gefundenen Werte und die Korrekturfaktoren ein, so erhält man:
P3% (Baumwolle) = 100 – (10,30 + 50,00) = 39,70
Die prozentualen Anteile der verschiedenen getrockneten und gereinigten Fasern des Gemischs sind folgende:
Wolle | 10,30%, |
Polyamid | 50,00%, |
Baumwolle | 39,70%. |
Diese Prozentsätze müssen nach den Formeln in Anlage 7 unter I.8.2 korrigiert werden, um auch die vereinbarten Feuchtigkeitszuschläge sowie die Korrekturfaktoren für die nach der Vorbehandlung etwa eingetretenen Massenverluste zu berücksichtigen.
Nach Anlage 3 sind die vereinbarten Feuchtigkeitszuschläge folgende: Wolle (Streichgarn) 17,0%, Polyamid 6,25%, Baumwolle 8,5%. Außerdem erfährt Rohbaumwolle einen Massenverlust von 4% nach Vorbehandlung durch Petroläther und Wasser. Man erhält infolgedessen:
P3A% (Baumwolle) = 100 – (10,97 + 48,37) = 40,66
Die Zusammensetzung des Gemisches ist infolgedessen:
Polyamid | 48,4% |
Baumwolle | 40,6% |
Wolle | 11,0% |
100,0% |
VARIANTE 4
Gegeben sei der Fall eines Fasergemischs, dessen qualitative Analyse folgende Bestandteile ergeben hat: Wolle (Streichgarn), Viskose, Rohbaumwolle.
Angenommen, daß unter Benutzung der Variante 4, dh. durch aufeinanderfolgendes Auflösen zweier Bestandteile der Mischung derselben Analysenprobe, folgende Ergebnisse erhalten wurden:
- Trockenmasse der Probe nach der Vorbehandlung (m1) = 1,6000 g
- Trockenmasse des Rückstands nach der ersten Behandlung mit alkalischem Natriumhypochlorit (Viskose + Baumwolle) (r1) = 1,4166 g
- Trockenmasse des Rückstands nach der zweiten Behandlung des Rückstands r1 mit Ameisensäure/Zinkchlorid (Baumwolle) (r2) = 0,6630 g
Die Behandlung mit alkalischem Natriumhypochlorit verursacht keinerlei Massenverlust bei Viskose, während die Rohbaumwolle 3% verliert, so daß d1 = 1,0 und d2 = 1,03 ist.
Durch die Behandlung mit Ameisensäure/Zinkchlorid erhöht sich die Masse der Baumwolle um 4%, so daß d3 = (1,03 . 0,96) = 0,9888 gerundet 0,99 (es wird daran erinnert, daß d3 der Korrekturfaktor ist, der den Verlust bzw. die Zunahme der Masse des dritten Bestandteils im ersten bzw. zweiten Reagenz berücksichtigt).
Setzt man in die Formel in Anlage 7 unter I.8.1.4 die durch chemische Analyse gefundenen Werte und die Korrekturfaktoren ein, so erhält man:
P1 (Wolle) = 100 – (48,75 + 41,02) = 10,23
Wie bereits für Variante 1 angegeben, sind diese Prozentsätze nach den in Anlage 7 unter I.8.2 angegebenen Formeln zu korrigieren.
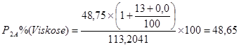
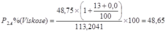
P3A% (Baumwolle) = 100 – (10,57 + 48,65) = 40,78
Die Zusammensetzung des Gemisches ist infolgedessen:
Viskose | 48,6% |
Baumwolle | 40,8% |
Wolle | 10,6% |
100,0% |
Zusatzdokumente: image001, image002, image003, image004, image005, image006, image007, image008, image009
Lizenziert vom RIS (ris.bka.gv.at - CC BY 4.0 DEED)
