Anlage 6
QUANTITATIVE ANALYSENMETHODEN FÜR BESTIMMTE BINÄRE TEXTILFASERGEMISCHE
1. ALLGEMEINER TEIL |
Einleitung
Die quantitativen Analysenmethoden bei Textilfasermischungen stützen sich hauptsächlich auf zwei Verfahren, nämlich auf das der manuellen Trennung und das der chemischen Trennung der Fasern.
Dem manuellen Trennverfahren sollte nach Möglichkeit der Vorzug gegeben werden, denn im allgemeinen führt es zu genaueren Ergebnissen als das chemische Verfahren. Das manuelle Verfahren läßt sich auf alle Textilerzeugnisse, bei denen die dieses Erzeugnis bildenden Fasern keine untrennbare Mischung darstellen, anwenden, zB auf die aus mehreren Bestandteilen zusammengesetzten Garne, bei denen die einzelnen Bestandteile aus einer einzigen Faserart gebildet werden, sowie auf Gewebe, bei denen die Kette aus einer anderen Faser als der Schuß besteht, oder auf Gewirke, die aus verschiedenartigen Garnen zusammengesetzt sind.
In der Regel stützt sich die quantitative chemische Analysenmethode bei Textilfasergemischen auf die selektive Lösbarkeit der Einzelbestandteile der Mischung. Nach Entfernung eines Bestandteils wird der unlösliche Rückstand gewogen, und der Anteil des löslichen Bestandteils wird unter Zugrundelegung des Gewichtsverlusts berechnet. Im vorliegenden Dokument werden die Angaben, die sich generell bei einer Analyse nach diesem Verfahren ergeben und für die im vorliegenden Anhang genannten Fasergemische jeder Zusammensetzung gelten, zusammengestellt. Dieses Dokument muß daher in Verbindung mit den anderen Texten benutzt werden, die ausführliche Verfahren für besondere Fasermischungen enthalten. Es kann vorkommen, daß bestimmte chemische Analysen auf anderen Prinzipien als dem der selektiven Auflösbarkeit beruhen. In diesem Fall werden in dem entsprechenden Teil der einschlägigen Methode ausführliche Angaben hierüber gemacht.
Die während der Herstellung der Textilerzeugnisse benutzten Fasergemische und in geringerem Maße auch die Fasergemische in den fertigen Textilien können oftmals als natürliche Beimengungen oder Erleichterung des Verarbeitungsvorganges Fette, Wachse oder Hilfsstoffe bzw. wasserlösliche Stoffe enthalten. Diese nicht zur Faser gehörenden Stoffe müssen vor der Analyse ausgesondert werden. Aus diesem Grund wird ebenfalls eine Methode der Vorbehandlung zwecks Entfernung von Ölen, Fetten, Wachsen und wasserlöslichen Stoffen angegeben.
Textilien können außerdem Kunstharze oder andere Stoffe enthalten, die ihnen bestimmte Eigenschaften verleihen sollen. Diese Stoffe, zu denen in Ausnahmefällen auch Farbstoffe gehören, können die Einwirkung des Reagenzes auf die löslichen Bestandteile beeinträchtigen bzw. teilweise oder vollständig durch das Reagenz beseitigt werden. Diese Zusatzstoffe können somit Fehler hervorrufen und müssen vor der Analyse der Probe ausgeschieden werden. Ist dies unmöglich, so sind die in diesem Anhang beschriebenen Verfahren der quantitativen Analyse nicht mehr anwendbar.
Farbstoffe in gefärbten Fasern werden als integrierender Bestandteil der Faser angesehen und nicht entfernt.
Bei diesen Analysen wird vom Trockengewicht ausgegangen; es wird daher ein Verfahren zur Bestimmung des Trockengewichts angegeben.
Bei der Ergebnisdarstellung werden zum Trockengewicht der einzelnen Fasern die in Anlage 3 angegebenen Feuchtigkeitszuschläge zugerechnet.
Die in der Mischung enthaltenen Fasern sind vor der Analyse zu identifizieren. Bei bestimmten chemischen Methoden kann der unlösliche Bestandteil von Gemischen teilweise in dem Reagenz aufgelöst werden, das zur Auflösung der löslichen Bestandteile verwendet wird. Nach Möglichkeit wurden die Reagenzien so gewählt, daß sie nur einen geringen oder überhaupt keinen Einfluß auf die unlöslichen Fasern haben. Ist bei der Analyse mit einem Gewichtsverlust zu rechnen, so müssen die Ergebnisse entsprechend korrigiert werden; Korrekturfaktoren hierfür sind angegeben. Diese Korrekturfaktoren wurden in mehreren Laboratorien dadurch bestimmt, daß durch Vorbehandlung gereinigte Fasern mit dem entsprechenden Reagenz unter Befolgung der Analysenmethode behandelt wurden.
Diese Korrekturfaktoren gelten nur für normale Fasern, und weitere Korrekturfaktoren können erforderlich sein, wenn die Fasern vor oder während der Verarbeitung nicht intakt geblieben sind. Die angegebenen chemischen Analysenmethoden gelten für Einzelanalysen. Es muß mindestens an zwei getrennten Analysenproben je eine Analyse sowohl beim manuellen Trennungsverfahren als auch beim chemischen Trennungsverfahren durchgeführt werden. In Zweifelsfällen muß, sofern dies nicht technisch unmöglich ist, eine weitere Analyse durchgeführt werden, und zwar nach einem Verfahren, mit dem sich die bei dem ersten Verfahren als Rückstand gebliebene Faser auflösen läßt.
I. | Allgemeines über die quantitativ-chemischen Analysenmethoden für Fasergemische | ||
Generelle Angaben zu den Verfahren der quantitativen chemischen Analyse von Fasergemischen | |||
I.1 | Anwendungsbereich | ||
Unter dem „Anwendungsbereich" jeder Methode werden die Fasern aufgeführt, auf die sie anzuwenden ist. | |||
I.2. | Prinzip | ||
Nach Identifizierung der einzelnen Bestandteile der Fasergemische wird einer der beiden Bestandteile entfernt, und zwar in der Regel durch selektive Auflösung 1), wobei der unlösliche Rückstand gewogen und der Anteil des löslichen Bestandteils aus dem Gewichtsverlust berechnet wird. Außer bei technischen Schwierigkeiten ist vorzugsweise die in größerer Menge vorhandene Faser aufzulösen, damit man die in geringerer Menge vorhandene Faser als Rückstand erhält. | |||
I.3. | Erforderliches Material | ||
I.3.1. | Geräte | ||
I.3.1.1. | Filtertiegel und Wägegläser zum Einsetzen von Tiegeln oder andere gleichwertige Geräte | ||
I.3.1.2. | Absaugflasche | ||
I.3.1.3. | Exsikkator mit gefärbtem Kieselgel als Feuchtigkeitsindikator | ||
I.3.1.4. | Trockenofen mit Ventilator zur Trocknung der Analysenproben bei (105±3) ºC | ||
I.3.1.5. | Analysenwaage, Empfindlichkeit 0,0002 g | ||
I.3.1.6. | Extraktionsapparat Soxhlet oder gleichwertige Apparatur | ||
I.3.2. | Reagenzien | ||
I.3.2.1. | Petroläther, nachdestilliert, Siedebereich 40 bis 60 ºC | ||
I.3.2.2. | Sonstige Reagenzien sind in den entsprechenden Teilen der Methode angegeben. Alle Reagenzien müssen chemisch rein sein. | ||
I.3.2.3. | Destilliertes oder entionisiertes Wasser | ||
I.3.2.4. | Aceton | ||
I.3.2.5. | Orthophosphorsäure | ||
I.3.2.6. | Harnstoff | ||
I.3.2.7. | Natriumbicarbonat | ||
I.4. | Konditionierungs- und Analysenatmosphäre | ||
Da die Trockenmasse bestimmt wird, ist weder eine Konditionierung der Probe noch eine Untersuchung in klimatisierter Atmosphäre erforderlich. | |||
I.5. | Vorprobe | ||
Es wird eine für die Laboratoriumsprobe repräsentative Vorprobe gewählt, die für sämtliche erforderlichen Analysenproben von jeweils mindestens 1 g ausreicht. | |||
I.6. | Vorbehandlung der Vorprobe 2) | ||
Ist einer der bei der Berechnung der Prozentsätze nicht zu berücksichtigenden Bestandteile vorhanden (§ 1 Abs. 7 Z 5), so ist dieser zunächst durch eine geeignete Methode zu entfernen, die jedoch keinen der Faserbestandteile angreifen darf. | |||
Zu diesem Zweck werden die mit Hilfe von Petroläther und Wasser extrahierbaren nichtfaserigen Bestandteile entfernt, indem die luftgetrocknete Probe im Soxhlet-Apparat mit Petroläther während einer Stunde und mit mindestens sechs Umläufen pro Stunde behandelt wird. | |||
Anschließend wird der Petroläther der Probe verdampft; danach wird die Probe durch Direktbehandlung extrahiert, das heißt durch einstündiges Eintauchen in Wasser bei Zimmertemperatur mit darauffolgendem einstündigen Eintauchen in Wasser bei (65±5) ºC unter zeitweiligem Schütteln, Flottenverhältnis 1 : 100. Danach wird das überschüssige Wasser durch Ausquetschen, Absaugen oder Zentrifugieren entfernt, bis die Probe lufttrocken ist. Bei Elastofelin oder Fasergemischen, die Elastolefin und andere Fasern enthalten (Wolle, Tierhaare, Seide, Baumwolle, Flachs, Hanf, Jute, Manila, Alfa, Kokos, Ginster, Ramie, Sisal, Cupro, Modal, regenerierte Proteinfasern, Viskose, Polyacryl, Polyamid oder Nylon, Polyester, Elastomultiester), sollte das oben beschriebene Verfahren dahingehend leicht abgeändert werden, dass Petroläther durch Aceton ersetzt wird. Bei binären Mischungen, die Elastolefin und Acetat enthalten, ist folgende Vorbehandlung durchzuführen: Die Probe wird 10 Minuten lang bei 80°C mit einer Lösung extrahiert, die 25 g/l 50%ige Orthophosphorsäure und 50 g/l Harnstoff enthält, Flottenverhältnis 1:100. Die Probe wird in Wasser gewaschen, danach lässt man sie abtropfen und wäscht sie in einer 0,1%igen Natriumbicarbonat-Lösung sowie abschließend vorsichtig in Wasser. | |||
Falls die nichtfaserigen Bestandteile nicht mit Hilfe von Petroläther und Wasser extrahiert werden können, so müssen sie anstatt mit Wasser, wie oben beschrieben, mit einem geeigneten Stoff entfernt werden, der keinen der Faserbestandteile wesentlich verändert. Bei einigen natürlichen Pflanzen-Rohfasern (wie zum Beispiel Jute-, Kokosfasern) ist zu beachten, daß durch die normale Vorbehandlung mit Petroläther und Wasser nicht alle natürlichen nichfaserigen Bestandteile ausgesondert werden. Trotzdem werden keine weiteren Vorbehandlungen vorgenommen, soweit die Probe keine in Petroläther und in Wasser unlöslichen Appreturen enthält. | |||
In den Analysenberichten müssen die gewählten Vorbehandlungsmethoden eingehend geschildert werden. | |||
I.7. | Analysengang | ||
I.7.1. | Allgemeine Anweisungen | ||
I.7.1.1. | Trocknung | ||
Alle Trockenoperationen sind mindestens 4 Stunden, jedoch nicht mehr als 16 Stunden, bei (105±3) ºC in einem belüfteten Ofen bei geschlossener Ofentür durchzuführen. Beträgt die Trocknungsdauer weniger als 14 Stunden, muß überprüft werden, ob ein konstantes Gewicht erreicht wurde. Dieses Gewicht kann als erreicht gelten, wenn der Gewichtsunterschied nach einer neuen Trocknung von 60 Minuten weniger als 0,05% beträgt. | |||
Die Filtertiegel und Wägegläser sowie die Proben oder die Rückstände sollen während des Trocknungs-, Abkühlungs- und Wägevorgangs nicht mit bloßen Händen berührt werden. | |||
Die Analysenproben werden in einem Wägeglas mit abgenommenen Stopfen getrocknet. Nach der Trocknung wird das Wägeglas vor Herausnahme aus dem Ofen geschlossen und so schnell wie möglich in den Exsikkator gebracht. | |||
Der Filtertiegel, der mit seinem Deckel in einem Wägeglas untergebracht ist, wird im Ofen getrocknet. Nach der Trocknung wird das Wägeglas verschlossen und so schnell wie möglich in den Exsikkator gestellt. | |||
Wird ein anderes Gerät als der Filtertiegel verwendet, so trocknet man im Trockenofen, um das Trockengewicht der Fasern ohne Verlust zu bestimmen. | |||
I.7.1.2. | Kühlung | ||
Alle Kühlvorgänge werden in dem neben der Waage aufgestellten Exsikkator ausreichend lange durchgeführt, um ein völliges Abkühlen der Wägegläser zu erreichen, wobei die Abkühldauer mindestens 2 Stunden beträgt. | |||
I.7.1.3. | Wägung | ||
Nach dem Kühlen wird das Wägeglas innerhalb von zwei Minuten nach Herausnahme aus dem Exsikkator gewogen. Wägegenauigkeit 0,0002 g. | |||
I.7.2. | Verfahren | ||
Man entnimmt aus der vorbehandelten Vorprobe eine Analysenprobe von mindestens 1 g Gewicht. Das Garn und die Gewebe werden in Längen von etwa 10 mm ausgeschnitten und soweit wie möglich zerlegt (zerschnitten). Die Analysenprobe wird in einem Wägeglas getrocknet, im Exsikkator gekühlt und gewogen. Die Probe wird in ein Glasgefäß gegeben, das im entsprechenden Teil der jeweiligen Methode beschrieben ist, anschließend wird das Wägeglas sofort wieder gewogen und das Trockengewicht der Probe durch Differenzbildung ermittelt. Die Analyse wird gemäß den Angaben in dem entsprechenden Teil der Methode zu Ende geführt. Der Rückstand wird mikroskopisch geprüft, um festzustellen, ob durch die Behandlung die lösliche Faser völlig ausgesondert worden ist. | |||
I.8. | Berechnung und Ergebnisdarstellung | ||
Das Gewicht des unlöslichen Bestandteils wird als Prozentsatz des Gesamtgewichts der im Gemisch enthaltenen Fasern ausgedrückt. Der Prozentsatz des löslichen Faseranteils ergibt sich aus der Differenz. Die Ergebnisberechnung erfolgt auf der Basis der Trockengewichte der reinen Fasern, wobei einmal Feuchtigkeitszuschläge, zum anderen Berichtigungsfaktoren zur Berücksichtigung der Verluste bei der Vorbehandlung und der Analyse angewendet werden. Diese Berechnungen erfolgen nach der unter Punkt I.8.2 angegebenen Formel. | |||
I.8.1. | Berechnung des prozentualen Gewichtsanteils der trockenen und reinen unlöslichen Bestandteile ohne Berücksichtigung des Gewichtsverlusts der Fasern bei der Vorbehandlung: | ||
P1 | ist der Prozentsatz des trockenen, reinen unlöslichen Faseranteils, | ||
m | ist die Trockenmasse der Probe nach der Vorbehandlung, | ||
r | ist die Masse des trockenen Rückstands, | ||
d | ist der Berichtigungsfaktor zur Berücksichtigung des Gewichtsverlusts der unlöslichen Bestandteile im Reagenz bei der Analyse. | ||
Geeignete Werte für „d" sind im entsprechenden Textteil der einzelnen Methoden anzugeben. | |||
Selbstverständlich gelten die im Normalfall anwendbaren „d"-Werte nicht für chemisch angegriffene Fasern. | |||
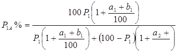
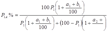
I.8.2. | Berechnung des Prozentsatzes der unlöslichen Komponente nach Anwendung der üblichen Feuchtigkeitszuschläge und etwaiger Berichtigungsfaktoren zur Berücksichtigung des Gewichtsverlusts durch die Vorbehandlung | ||
P1A % | ist der Prozentsatz des unlöslichen Faseranteils unter Berücksichtigung des konventionellen Feuchtigkeitszuschlags und des Gewichtsverlusts durch die Vorbehandlung. | ||
P1 | ist der Prozentsatz des unlöslichen, trockenen und reinen Faseranteils, errechnet aus der Formel nach I.8.1, | ||
a1 | ist der konventionelle Feuchtigkeitszuschlag für den unlöslichen Anteil (vgl. Anlage 3), | ||
a2 | ist der konventionelle Feuchtigkeitszuschlag des löslichen Faseranteils (vgl. Anlage 3), | ||
b1 | ist der prozentuale Gewichtsverlust des unlöslichen Faseranteils durch die Vorbehandlung, | ||
b2 | ist der prozentuale Gewichtsverlust des löslichen Faseranteils durch die Vorbehandlung. | ||
Der Prozentsatz der zweiten Komponente (P2A %) beträgt 100 - P1A %. | |||
Bei Anwendung einer besonderen Vorbehandlung müssen die Werte b1 und b2 nach Möglichkeit dadurch bestimmt werden, daß alle reinen Faserbestandteile der bei der Analyse angewandten Vorbehandlung unterworfen werden. Als reine Fasern gelten die Fasern, die frei von jeglichen nichtfaserhaltigen Stoffen sind, mit Ausnahme derjenigen Stoffe, die sie normalerweise (auf Grund ihrer Beschaffenheit und des Herstellungsprozesses) in dem Zustand (roh, gebleicht) enthalten, in dem sich die zu analysierende Ware befindet. | |||
Verfügt man nicht getrennt über reine Faserbestandteile, die zur Herstellung der zu analysierenden Ware gedient haben, so sind für b1 und b2 Durchschnittswerte zugrunde zu legen, die aus der Prüfung ähnlicher Fasern ermittelt wurden, wie sie die untersuchte Mischung enthält. Wird die normale Vorbehandlung durch Extraktion mit Petroläther und mit Wasser durchgeführt, so kann man im allgemeinen auf die Berichtigungsfaktoren b1 und b2 verzichten, außer im Fall von Rohbaumwolle, Rohflachs und Rohhanf, für die ein durch die Vorbehandlung bedingter Gewichtsverlust, von 4%, im Fall von Polypropylen ein solcher von 1% konventionell festgelegt ist. Im Fall anderer Fasern wird konventionell festgelegt, daß der durch die Vorbehandlung bedingte Gewichtsverlust für die Berechnung unberücksichtigt bleibt. | |||
II. | Quantitative Analyse von Fasergemischen durch manuelle Trennung | ||
II.1. | Anwendungsbereich | ||
Die Methode läßt sich auf Fasermischungen beliebiger Beschaffenheit anwenden, vorausgesetzt, daß sie keine untrennbare Mischung darstellen, und daß sie sich manuell trennen lassen. | |||
II.2. | Prinzip | ||
Nach Identifizierung der einzelnen Bestandteile der Fasergemische werden zunächst die nicht faserhaltigen Bestandteile durch eine geeignete Vorbehandlung ausgesondert, anschließend die Fasern von Hand getrennt, getrocknet und zwecks Berechnung des Anteils der einzelnen Faserarten am Gemisch gewogen. | |||
II.3. | Erforderliche Geräte | ||
II.3.1. | Wägeglas bzw. andere Geräte, die gleichartige Ergebnisse liefern | ||
II.3.2. | Exsikkator mit gefärbtem Kieselgel als Feuchtigkeitsindikator | ||
II.3.3. | Trockenofen mit Ventilator zur Trocknung der Analysenproben bei (105±3) ºC | ||
II.3.4. | Analysenwaage, Empfindlichkeit 0,0002 g | ||
II.3.5. | Extraktionsapparat Soxhlet oder gleichwertige Apparatur | ||
II.3.6. | Nadel | ||
II.3.7. | Garndrehungszähler oder gleichwertige Apparatur | ||
II.4. | Reagenzien | ||
II.4.1. | Petroläther, nachdestilliert, Siedebereich 40 – 60 ºC | ||
II.4.2. | Destilliertes oder entionisiertes Wasser | ||
II.5. | Konditionierungs- und Analysenatmosphäre | ||
II.6. | Vorprobe | ||
Vgl. Punkt 1.5 | |||
II.7. | Vorbehandlung der Probe | ||
Vgl. Punkt 1.6 | |||
II.8. | Analysengang | ||
II.8.1. | Analyse von Garnen | ||
Eine Analysenprobe von mindestens 1 g wird aus einer vorbehandelten Probe entnommen. Bei sehr feinen Garnen kann die Analyse ungeachtet des Gewichts auf einer Mindestlänge von 30 m durchgeführt werden. | |||
Die Garne sind in Stücke von geeigneter Länge zu schneiden; aus diesen sind die einzelnen Elemente mit Hilfe einer Präpariernadel und, falls erforderlich, mit Hilfe des Garndrehungszählers herauszutrennen. Die auf diese Weise herausgetrennten Elemente werden dann in ein tariertes Wägeglas gegeben und bei (105±3) ºC getrocknet, bis ein konstantes Gewicht gemäß I.7.1 und I.7.2 erreicht ist. | |||
II.8.2. | Analyse eines Gewebes | ||
Eine Analysenprobe von mindestens 1 g wird aus einer vorbehandelten Probe entnommen, die Analysenprobe wird so ausgeschnitten, daß sie außerhalb der Webkante liegt, exakt geschnittene Ränder ohne Kräuselung aufweist und parallel zu Schuß und Kette bzw. bei Gewirken gleichlaufend längs und quer zu den Maschenreihen geschnitten ist. Die einzelnen Garne werden getrennt und in tarierten Wägegläsern gesammelt; dann wird wie unter Punkt II.8.1 vorgegangen. | |||
II.9. | Berechnung und Ergebnisdarstellung | ||
Das Gewicht jedes Bestandteils wird als Prozentsatz des Gesamtgewichts der im Gemisch enthaltenen Fasern ausgedrückt. Die Berechnung erfolgt auf der Basis des Trockengewichts der reinen Fasern unter Anwendung von Feuchtigkeitszuschlägen sowie von Berichtigungsfaktoren zur Berücksichtigung der während der Vorbehandlung aufgetretenen Gewichtsverluste. | |||
II.9.1. | Berechnung des Prozentsatzes der reinen Trockengewichte ohne Berücksichtigung des Gewichtsverlusts der Fasern durch die Vorbehandlung. | ||
P1 | ist der Prozentsatz des trockenen und reinen ersten Faseranteils, | ||
m1 | ist die reine Trockenmasse des ersten Faseranteils, | ||
m2 | ist die reine Trockenmasse des zweiten Faseranteils. | ||
II.9.2. | Berechnung des Prozentsatzes jeder einzelnen Komponente nach Anwendung der üblichen Feuchtigkeitszuschläge und etwaiger Berichtigungsfaktoren zur Berücksichtigung des Gewichtslustes (Anm.: richtig: Gewichtsverlustes) durch die Vorbehandlung: siehe Punkt I.8.2. | ||
III.1. | Genauigkeit des Verfahrens | ||
Die für jedes Verfahren angegebene Genauigkeit bezieht sich auf die Reproduzierbarkeit (Wiederholstreubereich). | |||
Die Reproduzierbarkeit ist der Zuverlässigkeitsgrad, dh. die Einengung der Übereinstimmung zwischen den Versuchsergebnissen, die in verschiedenen Laboratorien oder zu verschiedenen Zeiträumen erzielt werden, wenn dabei jeweils nach demselben Verfahren und an demselben homogenen Prüfgut Einzelergebnisse ermittelt werden. | |||
Die Reproduzierbarkeit wird durch die Zuverlässigkeitsgrenzen der Versuchsergebnisse bei einer statistischen Sicherheit von 95% ausgedrückt. | |||
Dies besagt, daß die Abweichung zwischen den Ergebnissen einer in verschiedenen Laboratorien durchgeführten Analysenreihe bei richtiger und normaler Anwendung der Methode an einer gleichartigen homogenen Mischung nur in fünf von hundert Fällen überschritten werden darf. | |||
III.2. | Analysenbericht | ||
III.2.1. | Angabe, ob die Analyse nach dem hier beschriebenen Verfahren durchgeführt worden ist. | ||
III.2.2. | Detaillierte Angaben über etwaige Spezial-Vorbehandlungen (siehe Punkt 1.6). | ||
III.2.3. | Angabe der Einzelergebnisse sowie des arithmetischen Mittels auf eine Dezimalstelle genau. | ||
2. EINZELVERFAHREN – ÜBERSICHTSTABELLE | |||
Verfahren | Anwendungsbereich (1) | Reagenz | |
Löslicher Bestandteil | Unlöslicher Bestandteil | ||
Nr. 1 | Acetat | Bestimmte andere Fasern | Aceton |
Nr. 2 | Bestimmte Eiweißfasern | Bestimmte andere Fasern | Hypochlorit |
Nr. 3 | Cupro, Viskose und gewisse Typen von Modal | Bestimmte andere Fasern | Ameisensäure und Zinkchlorid |
Nr. 4 | Polyamid oder Nylon | Bestimmte andere Fasern | 80 %ige Ameisensäure |
Nr. 5 | Acetat | Bestimmte andere Fasern | Benzylalkohol |
Nr. 6 | Triacetat oder Polylactid | Bestimmte andere Fasern | Dichlormethan |
Nr. 7 | Bestimmte Zellulosefasern | Bestimmte andere Fasern | 75 %ige Schwefelsäure |
Nr. 8 | Polyacrylfasern, bestimmte Modacrylfasern oder bestimmte Polychloridfasern | Bestimmte andere Fasern | Dimethylformamid |
Nr. 9 | Bestimmte Polychloridfasern | Bestimmte andere Fasern | Schwefelkohlenstoff/Aceton (55,5/44,5) |
Nr. 10 | Acetat | Bestimmte andere Fasern | Essigsäure |
Nr. 11 | Seide, Polyamid oder Nylon | Bestimmte andere Fasern | 75 %ige Schwefelsäure |
Nr. 12 | Jute | Bestimmte Fasern tierischen Ursprungs | Stickstoffbestimmungsverfahren |
Nr. 13 | Polypropylen | Bestimmte andere Fasern | Xylol |
Nr. 14 | Bestimmte Fasern | Bestimmte andere Fasern | Konzentrierte Schwefelsäure |
Nr. 15 | Polychloridfasern, bestimmte Modacryle, bestimmte Elastane, Acetate, Triacetate | Bestimmte andere Fasern | Cyclohexanon |
Nr. 16 | Melamin | Bestimmte andere Fasern | 90 %ige heiße Ameisensäure |
(1) Die Fasern sind unter der jeweiligen Methode genau aufgelistet. | |||
VERFAHREN Nr. 1
ACETAT- UND BESTIMMTE ANDERE FASERN
(Aceton-Verfahren)
- 1. Acetat (16)
mit
- 2. Wolle (1), Tierhaaren (2 und 3), Seide (4), Baumwolle (5), Flachs oder Leinen (7), Hanf (8), Jute (9), Abaca (10), Alfa (11) Kokosfasern (12), Ginster (13), Ramie (14), Sisal (15), Cupro (18), Modal (19), regenerierten Proteinfasern (20), Viskose (22), Polyacryl (23), Polyamid oder Nylon (27), Polyester (28), Elastomultiester (39), Elastolefin (40), Melamin (41) und Polypropylen/Polyamid-Bikomponentenfasern (42).
Diese Vorschrift ist nicht auf oberflächen-entacetylierte Acetatfasern anwendbar.
- 2.GRUNDLAGE DES VERFAHRENS
- 3.GERÄTE UND REAGENZIEN (neben den im Allgemeinen Teil genannten)
- 3.1. Gerät
200-ml-Erlenmeyerkolben mit Glasschliffstopfen
- Reagenz
Aceton
- 5.BERECHNUNG UND ERGEBNISDARSTELLUNG
- 6.GENAUIGKEIT DES VERFAHRENS
VERFAHREN Nr. 2
BESTIMMTE EIWEISSFASERN UND BESTIMMTE ANDERE FASERN
(Hypochlorit-Verfahren)
- 1. bestimmten Eiweißfasern wie: Wolle (1), Tierhaare (2 und 3), Seide (4), regenerierte Proteinfasern (20)
mit
- 2. Baumwolle (5), Cupro (18), Viskose (22), Polyacryl (23), Polychlorid (24), Polyamid oder Nylon (27), Polyester (28), Polypropylen (30), Elasthan (36), Glasfasern (37), Elastomultiester (39), Elastolefin (40), Melamin (41) und Polypropylen/Polyamid- Bikomponentenfasern (42).
Sind unterschiedliche Eiweißfasern vorhanden, so liefert das Verfahren deren Gesamtmenge, jedoch nicht die prozentualen Anteile.
Die Eiweißfasern werden mit einer Hypochloritlösung aus einer bekannten Trockenmasse herausgelöst. Der Rückstand wird gesammelt, gewaschen, getrocknet und gewogen, seine - erforderlichenfalls berichtigte - Masse wird in Prozentsätzen der Trockenmasse der Mischung ausgedrückt. Der Anteil an trockenen Eiweißfasern wird durch Differenzbildung ermittelt.
Für die Herstellung der Hypochloritlösung kann Lithiumhypochlorit oder Natriumhypochlorit verwendet werden.
Lithiumhypochlorit empfielt (Anm.: richtig: empfiehlt) sich dann, wenn die Zahl der Analysen gering ist oder Analysen in größeren zeitlichen Abständen durchgeführt werden. Der Grund liegt darin, daß festes Lithiumhypochlorit gegenüber Natriumhypochlorit einen nahezu konstanten Hypochloritanteil enthält. Ist dieser Hypochloritanteil bekannt, muß nicht bei jeder Analyse der Hypochloritgehalt jodometrisch überprüft werden, es kann vielmehr mit konstanter Einwaage an Lithiumhypochlorit gearbeitet werden.
- 3.GERÄTE UND REAGENZIEN (neben den im Allgemeinen Teil genannten)
- 3.1. Geräte
- i) 250-ml-Erlenmeyerkolben mit Glasschliffstopfen
- ii) Thermostat, einstellbar auf 20 (±2) ºC
- 3.2. Reagenzien
- i) Hypochloritreagens
- a) Lithiumhypochloritlösung
Diese besteht aus einer frisch zubereiteten Lösung mit 35 (±2) g/l aktivem Chlor (etwa 1 M), der 5 (±0,5) g/l vorher gelöstes Natriumhydroxid zugegeben wurde. Man löst hierzu 100 g Lithiumhypochlorit mit 35% aktivem Chlor (bzw (Anm.: richtig: bzw.) 115 g mit 30% aktivem Chlor) in etwa 700 ml destilliertem Wasser, fügt 5 g in etwa 200 ml destilliertem Wasser gelöstes Natriumhydroxid hinzu und füllt auf 1 Liter auf. Die frisch hergestellte Lösung braucht nicht jodometrisch überprüft zu werden.
- b) Natriumhypochloritlösung
Diese besteht aus einer frisch zubereiteten Lösung mit 35 (±2) g/l aktivem Chlor (etwa 1 M), der 5 (±0,5) g/l vorher gelöstes Natriumhydroxid zugegeben wurde.
Vor jeder Analyse ist der Gehalt der Lösung an aktivem Clor (Anm.: richtig: Chlor) jodometrisch zu überprüfen.
- ii) Verdünnte Essigsäure
5 ml Eisessig werden mit Wasser auf 1 Liter aufgefüllt.
- 5.BERECHNUNG UND ERGEBNISDARSTELLUNG
- 6.GENAUIGKEIT DES VERFAHRENS
VERFAHREN Nr. 3
VISKOSE, CUPRO ODER GEWISSE TYPEN VON MODAL UND BESTIMMTE ANDERE FASERN
(Verfahren mit Ameisensäure und Zinkchlorid)
- 1. Cupro (18) oder Viskose (22) sowie bestimmten Modalfasern (19) mit
- 2. Baumwolle (5), Polypropylen (30), Elastolefin (40) und Melamin (41).
Wird die Anwesenheit von Modalfasern festgestellt, so ist ein Vorversuch auszuführen, um zu untersuchen, ob diese im Reagenz löslich sind.
Das Verfahren gilt nicht für Mischungen, bei denen die Baumwolle durch übermäßigen chemischen Angriff verändert worden ist oder die Viskose- oder Cuprofasern durch das Vorhandensein bestimmter Farbstoffe, Reagenzien oder Appreturmittel, die nicht vollständig entfernt werden können, nicht mehr vollständig löslich sind.
- 2.GRUNDLAGE DES VERFAHRENS
- 3.GERÄTE UND REAGENZIEN (neben den im Allgemeinen Teil genannten)
- 3.1. Geräte
- i) 200-ml-Erlenmeyerkolben mit Glasschliffstopfen
- ii) Einrichtung zur Erwärmung des Erlenmeyerkolbens auf 40+-2 ºC
- 3.2. Reagenzien
- i) Lösung aus 20 g wasserfreiem Zinkchlorid und 68 g wasserfreier Ameisensäure, mit Wasser auf 100 g aufgefüllt (d.h. aus 20 Gewichtsteilen wasserfreies Zinkchlorid in 80 Gewichtsteilen Ameisensäure, 85 Gewichtsprozent).
In diesem Zusammenhang wird auf Anlage 6 Absatz 1. Punkt 1.3.2.2 hingewiesen, der vorschreibt, daß alle verwendeten Reagenzien chemisch rein sein müssen; außerdem darf ausschließlich geschmolzenes wasserfreies Zinkchlorid verwendet werden.
- ii) Lösung aus 20 g wasserfreiem Zinkchlorid: 20 ml einer konzentrierten Ammoniaklösung (Volumenmasse 0,880 g/ml) werden mit Wasser auf 1 l verdünnt.
- 5.BERECHNUNG UND ERGEBNISDARSTELLUNG
- 6.GENAUIGKEIT DES VERFAHRENS
VERFAHREN Nr. 4
POLYAMID ODER NYLON UND BESTIMMTE ANDERE FASERN
(Verfahren mit 80%iger Ameisensäure)
- 1. Polyamid oder Nylon (27)
mit
- 2. Wolle (1), Tierhaaren (2 und 3), Baumwolle (5), Cupro (18), Modal (19), Viskose (22), Polyacryl (23), Polychlorid (24), Polyester (28), Polypropylen (30), Glasfasern (37), Elastomultiester (39), Elastolefin (40) und Melamin (41).
Das Verfahren gilt wie vorstehend angegeben für wollhaltige Mischungen, doch ist bei einem Wollgehalt von über 25% das Verfahren Nr. 2 anzuwenden, d. h. Auflösung der Wolle in einer Natriumhypochlorit-Lösung.
- 2.GRUNDLAGE DES VERFAHRENS
- 3.GERÄTE UND REAGENZIEN (neben den im Allgemeinen Teil genannten)
- 3.1. Gerät
200-ml-Erlenmeyerkolben mit Glasschliffstopfen
- 3.2. Reagenzien
- i) Ameisensäure zu 80 Gewichtsprozent, Dichte bei 20 ºC:
1,186. 880 ml Ameisensäure zu 90 Gewichtsprozent, Dichte bei 20 ºC: 1,204 werden mit Wasser auf 1 l aufgefüllt, oder es werden 780 ml Ameisensäure von 98 bis 100% Dichte bei 20 ºC: 1,220 mit Wasser auf 1 l aufgefüllt. Zwischen 77 und 83 Gewichtsprozent Ameisensäure ist die Konzentration nicht kritisch.
- ii) Verdünntes Ammoniak: 80 ml konzentriertes Ammoniak (Dichte bei 20 ºC: 0,880) werden mit Wasser auf 1 l aufgefüllt.
- 5.BERECHNUNG UND ERGEBNISDARSTELLUNG
- 6.GENAUIGKEIT DES VERFAHRENS
VERFAHREN Nr. 5
ACETATFASERN UND BESTIMMTE ANDERE FASERN
(Benzylalkohol-Verfahren)
- 1. Acetatfasern (16)
mit
- 2. Triacetfasern (21), Polypropylen (30), Elastofin (40), Melamin (41) und Polypropylen/Polyamid-Bikomponentenfasern (42).
- 2.GRUNDLAGE DES VERFAHRENS
- 3.GERÄTE UND REAGENZIEN (neben den im Allgemeinen Teil genannten)
- 3.1. Geräte
- i) 200-ml-Erlenmeyerkolben mit Glasschliffstopfen
- ii) mechanischer Schüttler
- iii) Thermostat oder anderes Gerät, das den Kolben einer Temperatur von 52+-2 ºC aussetzen kann.
- 3.2. Reagenzien
- i) Benzylalkohol
- ii) Äthylalkohol
- 5.BERECHNUNG UND ERGEBNISDARSTELLUNG
- 6.GENAUIGKEIT DES VERFAHRENS
VERFAHREN Nr. 6
TRICETAT- ODER POLYLACTIDFASERN UND BESTIMMTE ANDERE FASERN
(Dichlormethan-Verfahren)
- 1. Triacetatfasern (21) und Polylactidfasern (27d) mit
- 2. Wolle (1), Tierhaaren (2 und 3), Seide (4), Baumwolle (5), Cupro (18), Modal (19), Viskose (22), Polyacryl (23), Polyamid oder Nylon (27), Polyester (28), Polypropylen (30), Glasfasern (37), Elastomultiester (39), Elastolefin (40), Melamin (41) und Polypropylen/Polyamid- Bikomponentenfasern (42).
Anmerkung: Triacetatfasern, die durch besondere Behandlung partiell verseift sind, sind im Reagenz nicht mehr voll löslich. In diesem Fall ist das Verfahren nicht anwendbar.
- 2.GRUNDLAGE DES VERFAHRENS
- 3.GERÄTE UND REAGENZIEN (neben den im Allgemeinen Teil genannten)
- 3.1. Gerät
200-ml-Erlenmeyerkolben mit Glasschliffstopfen
- 3.2. Reagenz
i) Dichlormethan (Methylenchlorid)
- 5.BERECHNUNG UND ERGEBNISDARSTELLUNG
- 6.GENAUIGKEIT DES VERFAHRENS
VERFAHREN Nr. 7
BESTIMMTE ZELLULOSEFASERN UND BESTIMMTE ANDERE FASERN
(Verfahren mit 75%iger Schwefelsäure)
- 1. Baumwolle (5), Flachs oder Leinen (7), Hanf (8), Ramie (14), Cupro (18), Modal (19) und Viskose (22)
mit
- 2. Polyester (28), Polypropylen (30), Elastomultiester (39), Elastolefin (40) und Polypropylen/Polyamid-Bikomponentenfasern (42).
- 2.GRUNDLAGE DES VERFAHRENS
- 3.GERÄTE UND REAGENZIEN (neben den im Allgemeinen Teil genannten)
- 3.1. Geräte
- i) 500-ml-Erlenmeyerkolben mit Glasschliffstopfen
- ii) Thermostat oder anderes Gerät zur Erwärmung des Erlenmeyers auf 50+-5 ºC
- 3.2. Reagenzien
- i) Schwefelsäure zu 75 Gewichtsprozent (+-2%):
Herstellung in der Weise, daß 700 ml Schwefelsäure, Dichte bei 20 ºC: 1,84 vorsichtig zu 350 ml destilliertem Wasser zugesetzt werden. Nach Abkühlung auf Raumtemperatur mit Wasser auf 1 l auffüllen.
- ii) Verdünnte Ammoniaklösung:
80 ml Ammoniaklösung, Dichte bei 20 ºC: 0,88, werden mit Wasser auf 1 l aufgefüllt.
- 5.BERECHNUNG UND ERGEBNISDARSTELLUNG
- 6.GENAUIGKEIT DES VERFAHRENS
VERFAHREN Nr. 8
POLYACRYLFASERN, BESTIMMTE POLYCHLORIDFASERN, BESTIMMTE MODACRYLFASERN UND BESTIMMTE ANDERE FASERN
(Dimethylformamid-Verfahren)
- 1. Polyacrylfasern (23), bestimmten Polychloridfasern (24)4) oder bestimmten Modacrylfasern (26) mit
- 2. Wolle (1), Tierhaaren (2 und 3), Seide (4), Baumwolle (5), Cupro (18), Modal (19), Viskose (22), Polyamid oder Nylon (27), Polyester (28), Polypropylen (30), Elastomultiester (39), Elastolefin (40), Melamin (41) und Polypropylen/Polyamid-Bikomponentenfasern (42).
Es gilt ferner für Polyacryl- und bestimmte Modacrylfasern, die mit vormetallisierten Farbstoffen, jedoch nicht mit Nachchromierfarbstoffen behandelt sind.
- 2.GRUNDLAGE DES VERFAHRENS
- 3.GERÄTE UND REAGENZIEN (neben den im Allgemeinen Teil genannten)
- 3.1. Geräte
- i) 200-ml-Erlenmeyerkolben mit Glasschliffstopfen
- ii) kochendes Wasserbad
- 3.2. Reagenz
Dimethylformamid (Siedepunkt 153+-1) ºC mit nicht mehr als 1% Wasser. Da das Reagenz giftig ist, wird empfohlen, unter dem Abzug zu arbeiten.
- 5.BERECHNUNG UND ERGEBNISDARSTELLUNG
- 6.GENAUIGKEIT DES VERFAHRENS
VERFAHREN Nr. 9
BESTIMMTE POLYCHLORIDFASERN UND BESTIMMTE ANDERE FASERN
(Verfahren mit Schwefelkohlenstoff/Aceton 55,5/44,5)
- 1. bestimmten Polychloridfasern (24), dh. bestimmten, auch nachchlorierten Polyvinylchloridfasern5).
mit
- 2. Wolle (1), Tierhaaren (2 und 3), Seide (4), Baumwolle (5), Cupro (18), Modal (19), Viskose (22), Polyacrylfasern (23), Polyamid oder Nylon (27), Polyester (28), Polypropylen (30), Glasfasern (37), Elastomultiester (39), Melamin (41) und Polypropylen/Polyamid-Bikomponentenfasern (42).
Ist der Gehalt an Wolle oder Seide in der Mischung größer als 25%, so ist das Verfahren Nr. 2 anzuwenden.
Ist der Gehalt an Polyamid oder Nylon in der Mischung größer als 25%, so ist das Verfahren Nr. 4 anzuwenden.
- 2.GRUNDLAGE DES VERFAHRENS
- 3.GERÄTE UND REAGENZIEN (neben den im Allgemeinen Teil genannten)
- 3.1. Geräte
- i) 200-ml-Erlenmeyerkolben mit Schliffstopfen
- ii) mechanischer Schüttler
- 3.2. Reagenzien
- i) Aseotropische Mischung von Schwefelkohlenstoff und Aceton (55,5 Volumprozent Schwefelkohlenstoff und 44,5 Volumprozent Aceton). Da das Reagenz giftig ist, wird empfohlen, unter dem Abzug zu arbeiten
- ii) Äthylalkohol 92 Volumprozent, oder Methanol
- 5.BERECHNUNG UND ERGEBNISDARSTELLUNG
- 6.GENAUIGKEIT DES VERFAHRENS
VERFAHREN Nr. 10
ACETAFASERN UND BESTIMMTE ANDERE FASERN
(Essigsäure-Verfahren)
- 1. Acetatfasern (16)
mit
- 2. bestimmten Polychloridfasern (24) und zwar Polyvinylchloridfasern, auch nachchloriert, sowie Polypropylen (30), Elastolefin (40), Melamin (41) und Polypropylen/Polyamid- Bikomponentenfasern (42).
- 2.GRUNDLAGE DES VERFAHRENS
- 3.GERÄTE UND REAGENZIEN (neben den im Allgemeinen Teil genannten)
- 3.1. Geräte
- i) 200-ml-Erlenmeyerkolben mit Schliffstopfen
- ii) mechanischer Schüttler
- 3.2. Reagenz
Essigsäure (mehr als 99%). Dieses Reagenz ist sehr ätzend, und bei seiner Verwendung ist daher Vorsicht geboten.
- 5.BERECHNUNG UND ERGEBNISDARSTELLUNG
- 6.GENAUIGKEIT DES VERFAHRENS
VERFAHREN Nr. 11
SEIDE ODER POLYAMID UND BESTIMMTE ANDERE FASERN
(Verfahren mit 75 %iger Schwefelsäure)
- 1. Seide (4) oder Polyamid oder Nylon (27)
mit
- 2. Wolle (1), Tierhaaren (2 und 3), Polypropylen (30), Elastolefin (40), Melamin (41) und Polypropylen/Polyamid-Bikomponentenfasern (42).
- 2.GRUNDLAGE DES VERFAHRENS
- 3.GERÄTE UND REAGENZIEN (neben den im Allgemeinen Teil genannten)
- 3.1. Gerät
200-ml-Erlenmeyerkolben mit Schliffstopfen
- 3.2 Reagenzien
- i) 75gewichtsprozentige Schwefelsäure (±2%):
Herstellungsweise: 700 ml Schwefelsäure, Dichte 1,84, werden vorsichtig zu 350 ml destilliertem Wasser zugesetzt. Nach Abkühlung auf Raumtemperatur mit Wasser auf 1 l auffüllen.
- ii) Verdünnte Schwefelsäure:
100 ml konzentrierte Schwefelsäure werden mit destilliertem Wasser auf 1 900 ml aufgefüllt.
- iii) Verdünntes Ammoniak:
200 ml konzentriertes Ammoniak (0,880 Dichte bei 20 ºC) werden mit destilliertem Wasser auf 1 000 ml aufgefüllt.
- 5.BERECHNUNG UND ERGEBNISDARSTELLUNG
- 6.GENAUIGKEIT DES VERFAHRENS
VERFAHREN Nr. 12
JUTE UND BESTIMMTE FASERN TIERISCHEN URSPRUNGS
(Verfahren mittels Stickstoffbestimmung)
- 1. Jute (9)
mit
- 2. bestimmten Fasern tierischen Ursprungs.
Letztere können aus Tierhaaren (2 und 3) oder aus Wolle (1) oder einer Mischung von Tierhaaren und Wolle bestehen. Selbstverständlich eignet sich das Verfahren nicht für Textilfasermischungen, die nichtfaserige Bestandteile (Farbstoffe, Appreturmittel usw.) auf Stickstoffbasis enthalten.
- 2.GRUNDLAGE DES VERFAHRENS
- 3.GERÄTE UND REAGENZIEN (neben den im Allgemeinen Teil genannten)
- 3.1. Gerät
- i) Kjeldahl-Zersetzungskolben von 200 bis 300 ml
- ii) Kjeldahl-Destillationskolben mit Dampferzeuger
- iii) Titriergerät, mit einer Genauigkeit bis zu 0,05 ml.
- 3.2. Reagenzien
- i) Toluol
- ii) Methanol
- iii) Schwefelsäure (d = 1,84 bei 20 ºC) 6)
- iv) Kaliumsulfat 7)
- v) Selendioxyd 7)
- vi) Natriumhydroxydlösung (400 g/l). 400 g Natriumhydroxyd werden in 400 bis 500 ml Wasser aufgelöst und die Flüssigkeit mit Wasser auf 1 Liter verdünnt.
- vii) Indikatormischung. 0,1 g Methylrot werden in 95 ml Äthanol und 5 ml Wasser gelöst; diese Lösung wird mit 0,5 g Bromkresolgrün, das in 475 ml Äthanol und 25 ml Wasser aufgelöst ist, vermischt.
- viii) Borsäurelösung. 20 g Borsäure werden in einem Liter Wasser gelöst.
- ix) Schwefelsäure 0,02 N (Normvolumenlösung).
- 4.VORBEHANDLUNG DER VORPROBE
- 5.1. Allgemeine Anweisung
Hinsichtlich Entnahme, Trocknung und Wägung der Probe sind die im Allgemeinen Teil gemachten Angaben zu befolgen.
- 5.2. Ausführliche Anleitung
Zu der Probe von mindestens 1 g im Kjeldahl-Kolben werden der Reihe nach 2,5 g Kaliumsulfat, 0,1 bis 0,2 g Selendioxyd und 10 ml Schwefelsäure (d = 1,84) gegeben. Der Kolben wird zunächst schwach erhitzt, bis das ganze Fasermaterial zersetzt ist, sodann wird kräftiger erhitzt, bis die Lösung klar und nahezu farblos geworden ist. Die Erhitzung wird 15 Minuten lang fortgesetzt, dann läßt man den Kolben abkühlen, verdünnt den Inhalt vorsichtig mit 10 bis 20 ml Wasser, kühlt ab, überführt den Inhalt quantitativ in einen 200-ml-Maßkolben und füllt das Volumen mit Wasser auf, um die Analysenlösung herzustellen.
In einen 100-ml-Erlenmeyerkolben werden etwa 20 ml Borsäurelösung gegeben; der Kolben wird unter dem Kondensator des Kjeldahl-Destilliergeräts so aufgestellt, daß das Ablaufrohr gerade unter den Spiegel der Borsäurelösung eintaucht. Es werden genau 10 ml Analysenlösung in den Destillierkolben überführt und mindestens 5 ml Natriumhydroxydlösung in den Trichter gegeben. Man hebt den Stopfen leicht an und läßt die Natriumhydroxydlösung langsam in den Kolben fließen. Wenn die Analysenlösung und die Natriumhydroxydlösung bestrebt sind, zwei getrennte Schichten zu bilden, so sind sie durch vorsichtiges Schütteln zu vermischen. Der Destillierkolben wird leicht erwärmt und gleichzeitig Dampf aus dem Dampferzeuger in ihn eingeführt. Es werden etwa 20 ml Destillat gesammelt und das Auffanggefäß so weit gesenkt, daß sich das Ende des Ablaufrohrs etwa 20 mm über dem Spiegel der Flüssigkeit befindet, danach wird eine Minute lang weiter destilliert. Das Ende des Ablaufrohrs wird mit Wasser ausgespült und das Reinigungswasser im Erlenmeyer aufgefangen. Der Erlenmeyer wird sodann entfernt und durch einen zweiten Erlenmeyer ersetzt, der etwa 10 ml Borsäurelösung enthält; darin werden etwa 10 ml Destillat aufgesammelt.
Die beiden Destillate werden getrennt mit 0,02-N-Schwefelsäure unter Verwendung der Indikatormischung titriert. Die Ergebnisse für die beiden Destillate werden notiert. Wenn das Bestimmungsergebnis des zweiten Destillats über 0,2 ml liegt, so ist die Bestimmung zu wiederholen; es muß also nochmals mit einem anderen aliquoten Teil der Analysenlösung destilliert werden.
Es wird ein Blindversuch durchgeführt, wobei die Zersetzung und Destillation lediglich unter Verwendung der Reagenzien erfolgt.
- 6.BERECHNUNG UND ERGEBNISDARSTELLUNG
- 6.1. Der prozentuale Anteil des Stickstoffs in der trockenen Probe wird folgendermaßen berechnet:
- 6.2. Bei Verwendung des Wertes 0,22% für den Stickstoffgehalt der Jute bzw. 16,2% für den Stickstoffgehalt der tierischen Fasern - beide Werte auf die Trockenmasse bezogen - berechnet sich die Zusammensetzung der Mischung nach folgender Formel:
- 7.GENAUIGKEIT DES VERFAHRENS
VERFAHREN Nr. 13
POLYPROPYLEN UND BESTIMMTE ANDERE FASERN
(Xylol-Verfahren)
- Polypropylen (30)
mit
- 2. Wolle (1), Tierhaaren (2 und 3), Seide (4), Baumwolle (5), Acetat (16), Cupro (18), Modal (19), Triacetat (21), Viskose (22), Polyacryl (23), Polyamid oder Nylon (27), Polyester (28), Glasfasern (37), Elastomultiester (39) und Melamin (41).
- 2.GRUNDLAGE DES VERFAHRENS
- 3.GERÄTE UND REAGENZIEN (soweit nicht im Allgemeinen Teil erwähnt)
- 3.1. Geräte
- i) Erlenmeyerkolben, Mindestinhalt 200 ml, mit Schliffstopfen;
- ii) Rückflußkühler (geeignet für Flüssigkeiten mit erhöhtem Kochpunkt) mit zum Aufsetzen auf die Erlenmeyerkolben (i) angepaßtem geschliffenem Übergangsteil.
- 3.2. Reagenz
Xylol, Siedebereich zwischen 137 Grad und 14 ºC.
Bemerkung:
Dieses Reagenz ist sehr leicht entflammbar und entwickelt giftige Dämpfe. Während der Verwendung sind deshalb entsprechende Vorsichtsmaßnahmen zu treffen.
- 1. Der Filtertiegel, über den das Xylol dekantiert wird, muß vorgewärmt werden.
- 2. Nach den Verfahrensschritten mit dem kochenden Xylol darauf achten, daß der den Rückstand enthaltende Erlenmeyerkolben ausreichend abgekühlt wird, bevor der Petroläther dazugegeben wird.
- 3. Um die Gefährdung der Laboranten durch die Entflammbarkeit und Giftigkeit möglichst niedrig zu halten, können Heißextraktionsapparaturen und geeignete Verfahren, die gleichartige Ergebnisse erbringen, angewendet werden. 7)
- 5.BERECHNUNG UND ERGEBNISDARSTELLUNG
- 6.GENAUIGKEIT DES VERFAHRENS
VERFAHREN Nr. 14
BESTIMMTE FASERN UND BESTIMMTE ANDERE FASERN
(Verfahren mit konzentrierter Schwefelsäure)
- 1. Baumwolle (5), Acetat (16), Cupro (18), Modal (19), Triacetat (21), Viskose (22), bestimmte Polyacryl- (23) und Modacryl- (26) Fasern, Polyamid oder Nylon (27), Polyester (28) und Elastomultiester (39) mit
- 2. Polychloridfasern (24) auf Homopolymerbasis von Vinylchlorid (auch nachchloriert), sowie Polypropylen (30), Elastolefin (40), Melamin (41) und Polypropylen/Polyamid- Bikomponentenfasern (42).
Die betreffenden Modacrylfasern sind diejenigen, die bei Behandlung in konzentrierter Schwefelsäure (d20 = 1,84 g/ml) eine klare Lösung ergeben.
Diese Methode kann insbesondere anstelle der Verfahren Nr. 8 und 9 angewendet werden.
- 2.GRUNDLAGE DES VERFAHRENS
- 3.GERÄTE UND REAGENZIEN (soweit nicht im Allgemeinen Teil aufgeführt)
- 3.1. Geräte
- i) Erlenmeyerkolben, Mindestinhalt 200 ml, mit Schliffstopfen;
- ii) Glasstab mit abgeflachtem Ende.
- 3.2. Reagenzien
- i) Schwefelsäure konzentriert (d20 = 1,84 g/ml);
- ii) Schwefelsäure, wäßrige Lösung etwa 50% (m/m) Schwefelsäure.
Um dieses Reagenz herzustellen, werden vorsichtig und unter Kühlung 400 ml Schwefelsäure (d20 = 1,84 g/ml) zu 500 ml Wasser hinzugegeben. Wenn die Lösung auf Zimmertemperatur abgekühlt ist, wird mit Wasser auf 1 Liter angefüllt;
- iii) Ammoniak, verdünnte Lösung
60 ml einer konzentrierten Ammoniaklösung (d20 = 0,880 g/ml) werden mit destilliertem Wasser zu 1 Liter Lösung verdünnt.
- 5.BERECHNUNG UND ERGEBNISDARSTELLUNG
- 6.GENAUIGKEIT DES VERFAHRENS
VERFAHREN Nr. 15
POLYCHLORIDFASERN, BESTIMMTE MODACRYLE, BESTIMMTE ELASTHANE, ACETAT, TRIACETAT UND BESTIMMTE ANDERE FASERN
(Cyclohexanonverfahren)
- 1. Acetat (16), Triacetat (21), Polychlorid (24), bestimmten Modacrylen (26), bestimmten Elasthanen (36)
mit
- 2. Wolle (1), Tierhaaren (2 und 3), Seide (4), Baumwolle (5), Cupro (18), Modal (19), Viskose (22), Polyacryl (23), Polyamid oder Nylon (27), Glasfasern (37) und Melamin (41).
Sind Modacryl- oder Elasthanfasern vorhanden, so ist ein Vorversuch notwendig, um festzustellen, ob die Fasern in dem Reagenz vollständig löslich sind.
Zur Bestimmung von Gemischen mit Polychloridfasern sind auch die Verfahren Nr. 9 oder Nr. 14 anwendbar.
- 2.GRUNDLAGE DES VERFAHRENS
- 3.GERÄTE UND REAGENZIEN (neben den im Allgemeinen Teil genannten)
- 3.1. Geräte
- i) Heißextraktionsgerät, mit dem nach dem unter Kapitel 4 beschriebenen Verfahren gearbeitet werden kann (siehe Abbildung, die eine Variante des in Milliand Textilberichte 56 (1975) 643 - 645 beschriebenen Geräts darstellt);
- ii) Filtertiegel zur Aufnahme der Probe;
- iii) poröse Scheidewand, Porosität 1;
- iv) für den Destillationskolben geeigneter Rückflußkühler;
- v) Heizgerät.
- 3.2. Reagenzien
- i) Cyclohexanon, Siedepunkt 156 ºC;
- ii) Äthylalkohol, verdünnt auf 50 Volumprozent.
Anmerkung:
Cyclohexanon ist brennbar und toxisch; beim Gebrauch sind entsprechende Schutzvorkehrungen zu treffen.
- 5.BERECHNUNG UND ERGEBNISDARSTELLUNG
Seide und Melamin: | 1,01 |
Polyacryl: | 0,98. |
- 6.GENAUIGKEIT DES VERFAHRENS
Skizze, die auf den Punkt 3.1 i) der Methode no 15 abgezielt wurde |
VERFAHREN Nr. 16
MELAMIN UND BESTIMMTE ANDERE FASERN
(Verfahren mit heißer Ameisensäure)
Dieses Verfahren gilt nach Entfernung der nichtfaserigen Bestandteile für binäre Mischungen von:
- 1. Melamin (41)
mit
- 2. Baumwolle (5), Aramid (27a) und Polypropylen (30).
- 2.GRUNDLAGE DES VERFAHRENS
Die Melaminfasern werden aus einer bekannten Trockenmasse der Mischung mit Hilfe heißer Ameisensäure (90 % Massengehalt) herausgelöst.
Der Rückstand wird gesammelt, gewaschen, getrocknet und gewogen; seine Masse wird, gegebenenfalls nach Berichtigung, als Prozentsatz der Trockenmasse der Mischung ausgedrückt. Der Anteil der anderen Bestandteile wird durch Differenzbildung ermittelt.
Anmerkung: Es darf nicht vom empfohlenen Temperaturbereich abgewichen werden, da die Löslichkeit von Melamin in starkem Maße temperaturabhängig ist.
- 3.GERÄTE UND REAGENZIEN (neben den im Allgemeinen Teil genannten)
- 3.1. Geräte
- i) Erlenmeyerkolben, Mindestinhalt 200 ml, mit Schliffstopfen.
- ii) Wasserbadschüttler oder anderes Gerät zum Schütteln und zur Erwärmung des Kolbens auf 90 ± 2 °C.
- 3.2. Reagenzien
- i) Ameisensäure (90 %, d20 : 1,204 g/ml). 890 ml 98- bis 100 %ige Ameisensäure (d20 : 1,220 g/ml) werden mit Wasser auf 1 Liter aufgefüllt.
Beim Umgang mit heißer Ameisensäure ist wegen ihrer stark ätzenden Wirkung äußerste Vorsicht geboten.
- ii) Verdünntes Ammoniak: 80 ml konzentrierter Ammoniaklösung (d20 : 0,880) werden mit Wasser auf 1 Liter aufgefüllt.
Es ist der im Allgemeinen Teil beschriebene Analysevorgang zu befolgen und folgendermaßen vorzugehen:
Die in einem 200-ml-Erlenmeyerkolben mit Schliffstopfen befindliche Probe wird mit 100 ml Ameisensäure je Gramm Probe versetzt. Der Kolben wird verschlossen und geschüttelt, um die Probe vollständig zu benetzen. Der Kolben wird eine Stunde lang in einem Wasserbadschüttler bei 90 ± 2 °C kräftig geschüttelt. Anschließend lässt man den Kolben auf Raumtemperatur abkühlen. Die Flüssigkeit über einen gewogenen Glasfiltertiegel dekantieren. Der Rückstand im Kolben wird mit 50 ml Ameisensäure versetzt und manuell geschüttelt, anschließend wird der Kolbeninhalt durch den Glasfiltertiegel gefiltert. Etwa zurückbleibende Fasern werden durch Auswaschen des Kolbens mit etwas Ameisensäurelösung in den Filtertiegel überführt. Der Filtertiegel wird unter Absaugen entleert und der Rückstand nacheinander mit Ameisensäure, heißem Wasser, verdünnter Ammoniaklösung und schließlich mit kaltem Wasser ausgewaschen, wobei der Tiegel nach jeder Flüssigkeitszugabe unter Absaugen entleert wird, jedoch erst, nachdem die jeweilige Waschlösung durch ihr Eigengewicht abgelaufen ist. Zum Schluss wird der Tiegel unter Absaugen geleert, zusammen mit dem Rückstand getrocknet, abgekühlt und gewogen.
Anmerkung: Die Löslichkeitseigenschaften von Melamin sind in starkem Maße von der Temperatur abhängig, daher ist diese sorgfältig zu überwachen.
- 5.BERECHNUNG UND ERGEBNISDARSTELLUNG
Die Ergebnisse werden nach dem im Allgemeinen Teil angegebenen Berechnungsverfahren berechnet. Der Wert „d“ für Baumwolle und Aramid beträgt 1,02.
- 6.GENAUIGKEIT DES VERFAHRENS
Bei homogenen Textilgemischen liegen die Zuverlässigkeitsgrenzen der Ergebnisse dieses Verfahrens bei höchstens ± 2, wobei die statistische Sicherheit 95 % beträgt.
___________________
1) Methode Nr. 12 bildet eine Ausnahme. Sie geht von der Bestimmung eines wesentlichen Faktors eines der beiden Bestandteile aus.
2) Vgl. Anlage 5 Absatz 1.
3) Um die Einwirkungsdauer der Ammoniaklösung auf den Faserrückstand während 10 Minuten sicherzustellen, kann man z. B. den Filtertiegel mit einem Vorstoß mit Hahn versehen, der den Abfluß der Ammoniaklösung zu regeln gestattet.
4) Die Löslichkeit dieser Modacryl- oder Polychloridfasern im Reagenz ist vor der Analyse zu prüfen.
5) Die Löslichkeit der Polychloridfasern im Reagenz muß überprüft werden, bevor die Analyse durchgeführt wird.
6) Diese Reagenzien müssen stickstofffrei sein.
7) Diesbezüglich sei auf die in Melliand Textilberichte 56 (1975), S. 643 - 645, beschriebene Apparatur hingewiesen.
Zusatzdokumente: image001, image002, image003, image004, image005, image006
Lizenziert vom RIS (ris.bka.gv.at - CC BY 4.0 DEED)
