Anlage 2
zu § 5
A) Voraussetzungen für die Zulassung oder Akkreditierung von Auswertestellen
- 1. Vorhandensein von Fachpersonal in ausreichender Anzahl, das insbesondere über entsprechende Kenntnisse bezüglich Strahlenschutz, Personendosimetrie und Physik der kosmischen Strahlung in der Atmosphäre verfügt.
- 2. Vorhandensein eines entsprechenden Qualitätsmanagementsystems, wobei als Mindestanforderungen die diesbezüglichen Festlegungen der ÖVE/ÖNORM EN ISO/IEC 17025 heranzuziehen sind.
- 3. Bei Verwendung eines Rechenprogramms zur Dosisermittlung:
- a) Funktionalität des Rechenprogramms: Die mit dem Rechenprogramm ermittelten Umgebungs-Äquivalentdosisleistungen dH*(10)/dt müssen als Funktion der vertikalen Abschneidesteifigkeit rc für alle möglichen Werte von rc in einem Bereich von ±30% um die aus experimentellen Werten bestimmten Mittelwerte liegen. Alternativ kann auch ein Vergleich mit der berechneten Umgebungs-Äquivalentdosis H*(10) auf beliebigen Flugstrecken herangezogen werden: Die mit dem Rechenprogramm ermittelte Routendosis beliebiger Flüge darf sich von gemessenen Werten der Umgebungs-Äquivalentdosis um nicht mehr als ±30%, bezogen auf die gemessene Dosis, unterscheiden.
- b) Nichtfunktionale Anforderungen an das Rechenprogramm: Die Sicherheit des Programms, der verwendeten Daten und Parameterwerte, die Fehlererkennung, Schnittstellen und Programmdokumentation muss den anerkannten Regeln der Technik entsprechen.
- c) Nachweis einer ausreichenden Validierung des Rechenprogramms nach dem Stand der Technik, wobei als Mindestanforderungen die diesbezüglichen Festlegungen der ÖVE/ÖNORM EN ISO/IEC 17025 heranzuziehen sind.
- 4. Bei messtechnischer Dosisermittlung:
- a) Nachweis über das erforderliche Fachwissen;
- b) Verfügbarkeit von durch eine akkreditierte Kalibrierstelle oder ein nationales Metrologieinstitut kalibrierten Dosimetern (TEPC oder gleichermaßen geeignete Messsyteme) zur Ermittlung der Umgebungs-Äquivalentdosis.
- 5. Zuverlässigkeit des Leiters der Auswertestelle im Hinblick auf die ihm durch die Zulassung oder Akkreditierung übertragenen Aufgaben.
- Im Fall der Akkreditierung von Auswertestellen gelten gegenständliche Voraussetzungen zusätzlich zu jenen, die durch das Akkreditierungsgesetz und darauf gegründete rechtliche Bestimmungen vorgegeben sind.
- Die Voraussetzungen für die Zulassung als Auswertestelle sind dem Bundesministerium für Land- und Forstwirtschaft, Umwelt und Wasserwirtschaft im Rahmen des Zulassungsverfahrens entsprechend nachzuweisen.
B) Begriffsdefinitionen
Aufgeweitetes Feld: ein vom aktuellen Feld abgeleitetes Feld, in dem die Fluenz und ihre Richtungs- und Energieverteilung in dem gesamten interessierenden Volumen die gleichen Werte aufweisen wie am Bezugspunkt im aktuellen Feld.
Aufgeweitetes ausgerichtetes Feld: Strahlungsfeld, in dem die Fluenz und deren Richtungs- und Energieverteilung die gleichen sind wie im aufgeweiteten Feld, wobei aber die Fluenz in eine Richtung ausgerichtet ist.
Äquivalentdosis HT: Energiedosis im Gewebe oder Organ T, gewichtet nach Art und Qualität der Strahlung R. Sie wird ausgedrückt durch
Dabei ist DT,R die über ein Gewebe oder ein Organ T gemittelte Energiedosis durch die Strahlung R und wR der Strahlungs-Wichtungsfaktor.
Besteht das Strahlungsfeld aus Arten und Energien mit unterschiedlichen Werten von wR, so gilt für die gesamte Äquivalentdosis HT
Die entsprechenden Werte für wR sind in lit. C angegeben. Die Einheit der Äquivalentdosis ist das Sievert (Sv).
Blockzeit: Zeit zwischen dem erstmaligen Abrollen eines Luftfahrzeuges aus seiner Parkposition zum Zweck des Startens bis zum Stillstand nach dem Flug an der zugewiesenen Parkposition und bis alle Triebwerke abgestellt sind, gemäß Anhang 1 Z 3 der Verordnung des Bundesministers für Verkehr, Innovation und Technologie betreffend die Voraussetzungen für die Erteilung des Luftbetreiberzeugnisses (AOC) 2004 – AOCV 2004, BGBl. II Nr. 425/2004.
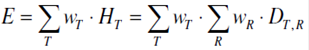
Effektive Dosis E: die Summe der gewichteten Äquivalentdosen in allen in lit. E angegebenen Geweben und Organen des Körpers aus interner und externer Strahlenexposition. Sie wird definiert durch die Gleichung
Dabei ist DT,R die über ein Gewebe oder ein Organ T gemittelte Energiedosis aus der Strahlung R, wR der Strahlungs-Wichtungsfaktor und wT der Gewebe-Wichtungsfaktor für das Gewebe oder Organ T. Die entsprechenden Werte für wR sind in lit. B und für wT in lit. D angegeben. Die Einheit der effektiven Dosis ist das Sievert (Sv).
Energiedosis D: pro Masseneinheit absorbierte Energie
Dabei ist die mittlere Energie, die durch die ionisierende Strahlung auf die Materie in einem Volumenelement übertragen wird und dm die Masse der Materie in diesem Volumenelement.
In dieser Anlage bezeichnet die Energiedosis die über ein Gewebe oder ein Organ gemittelte Dosis. Die Einheit der Energiedosis ist Gray.
Flugfläche (FL, flight level): Flächen konstanten Luftdruckes, die auf den Druckwert 1013,2 Hektopascal (hPa) bezogen und durch bestimmte Druckabstände voneinander getrennt sind. (Anm.: Die Flugflächen werden in der Luftfahrt zur vertikalen Staffelung des Flugverkehrs verwendet. Sie werden in Hektofuß angegeben, z. B. FL330 entspricht bei Standardluftdruck von 1013,25 hPa einer Flughöhe von 33 000 ft/~10 060 m.)
Gemittelter Qualitätsfaktor : Mittelwert des Qualitätsfaktors an einem bestimmten Punkt im Gewebe, wenn die Energiedosis durch Teilchen abgegeben wird, die unterschiedliche L-Werte haben. Er wird nach folgender Formel berechnet:
dabei ist D(L)dL die Energiedosis in 10 mm zwischen dem linearen Energietransfer L und L + dL; Q(L) ist der zugehörige Qualitätsfaktor am interessierenden Punkt. Das Verhältnis Q-L ist in lit. C wiedergegeben.
Gewebe-Wichtungsfaktor wT: dimensionsloser Faktor, der zur Wichtung der Äquivalentdosis in einem Gewebe oder Organ T verwendet wird. Die entsprechenden Werte wT sind in lit. E wiedergegeben.
Gray (Gy): besonderer Name für die Einheit der Energiedosis. Ein Gray = 1 Joule pro Kilogramm:
1 Gy = 1 J kg-1
ICRU-Kugel: von der Internationalen Kommission für Radiologische Einheiten und Messungen (ICRU) eingeführtes Phantom zur Nachbildung des Menschen hinsichtlich der Energieaufnahme bei ionisierenden Strahlungen; dieses besteht aus einer gewebeäquivalenten Kugel von 30 cm Durchmesser mit einer Dichte von 1 g cm-3 und einer Massenzusammensetzung von 76,2% Sauerstoff, 11,1% Kohlenstoff, 10,1% Wasserstoff und 2,6% Stickstoff.
Organdosis DT: Quotient aus der gesamten an ein Gewebe oder Organ abgegebenen Energie und der Masse dieses Gewebes oder Organs.
Qualitätsfaktor Q : Funktion des linearen Energieübertragungsvermögens L, mit dessen Hilfe die Energiedosen an einem Punkt zur Berücksichtigung der Qualität der Strahlung gewichtet werden.
Routendosis: Gesamtdosis aus der zeitlichen Integration über die Dosiswerte entlang der Flugstrecke.
Sievert (Sv): besonderer Name für die Einheit der Äquivalent- oder effektiven Dosis. Ein Sievert entspricht einem Joule pro Kilogramm:
1 Sv = 1 J kg-1
Strahlungs-Wichtungsfaktor wR: dimensionsloser Faktor, der zur Wichtung der Organdosis verwendet wird. Die entsprechenden Werte wR sind in lit. C wiedergegeben.
TEPC: gewebeäquivalenter Proportionalzähler (tissue equivalent proportional counter). Hohlraumsonde mit einem Wandmaterial und einer Gasfüllung einer gewebeäquivalenten Zusammensetzung. Der TEPC ermöglicht die direkte Bestimmung der Energiedosis in Gewebe für gemischte Strahlungsfelder in Abhängigkeit von der linearen Energieübertragung L.
Umgebungs-Äquivalentdosis H*(d): Äquivalentdosis an einem Punkt in einem Strahlungsfeld, die im zugehörigen aufgeweiteten und ausgerichteten Feld in der ICRU-Kugel in einer Tiefe d auf dem der Richtung des ausgerichteten Feldes entgegengerichteten Radius erzeugt würde. Die Einheit der Umgebungs-Äquivalentdosis ist das Sievert (Sv).
Umgebungs-Äquivalentdosisleistung dH*(d)/dt: Differentialquotient der Umgebungs-Äquivalentdosis nach der Zeit.
Unbeschränkte lineare Energieübertragung (L∞): eine wie folgt definierte Größe:
Dabei ist dE die von einem Teilchen der Energie E beim Zurücklegen einer Entfernung dl in Wasser abgegebene mittlere Energie.
Vertikale Abschneidesteifigkeit rc: Maß für die Ablenkung eines Teilchens bei senkrechtem Einfall in das Erdmagnetfeld, wobei gerade kein Eindringen in die Atmosphäre mehr möglich ist.
C) Werte des Strahlungs-Wichtungsfaktors wR
Die Werte des Strahlungs-Wichtungsfaktors wR richten sich nach der Art und Qualität des externen Strahlungsfelds oder nach der Art und Qualität der von einem intern abgelagerten Radionuklid emittierten Strahlung.
Setzt sich das Strahlungsfeld aus Arten und Energien mit unterschiedlichen Werten von wR zusammen, so ist die Energiedosis in Gruppen, jeweils mit eigenem Wert für wR, zu unterteilen und zur gesamten Äquivalentdosis zu addieren. Alternativ kann eine stetige Energieverteilung angenommen werden, wobei jedes Element der Energiedosis zwischen E und E+dE mit dem wR-Wert aus der entsprechenden Zeile in nachstehender Tabelle multipliziert wird.
Art und Energiebereich | Strahlungs-Wichtungsfaktor wR | |
Photonen, alle Energien | 1 | |
Elektronen und Myonen, alle Energien | 1 | |
Neutronen, Energie < 10 keV | 5 | |
| 10 keV bis 100 keV | 10 |
| > 100 keV bis 2 MeV | 20 |
| > 2 MeV bis 20 MeV | 10 |
| > 20 MeV | 5 |
Protonen, außer Rückstoßprotonen, | 5 | |
| Energie > 2 MeV |
|
Alphateilchen, Spaltfragmente, schwere Kerne | 20 | |
In Berechnungen mit Neutronen können Schwierigkeiten beim Einsatz der Werte aus der Stufenfunktion auftreten. In diesen Fällen kann die Benutzung einer stetigen Funktion, die auf folgender mathematischer Beziehung beruht, vorzuziehen sein:
wobei E die Neutronenenergie in MeV ist.
Ein Vergleich der beiden Ansätze ist in nachstehender Abbildung wiedergegeben (Die gestrichelte Kurve ist als Näherung anzusehen):
Strahlungs-Wichtungsfaktor wR
Neutronenenergie [MeV]
Für die nicht in der Tabelle enthaltenen Strahlungsarten und Energien kann eine Näherung von wR durch die Berechnung des mittleren Qualitätsfaktors in einer Tiefe von 10 mm in einer ICRU-Kugel ermittelt werden.
D) Verhältnis zwischen dem Qualitätsfaktor Q(L) und dem unbeschränkten linearen Energietransfer L
E) Werte des Gewebe-Wichtungsfaktors wT
Nachfolgende Tabelle enthält die Gewebe-Wichtungsfaktoren wT für wichtige Organe und Gewebe. Sie gelten für sowohl für Arbeitskräfte als auch die Gesamtbevölkerung sowie für beide Geschlechter.
Gewebe oder Organe | Gewebe-Wichtungsfaktoren wT |
Gonaden | 0,20 |
Knochenmark (rot) | 0,12 |
Dickdarm | 0,12 |
Lunge | 0,12 |
Magen | 0,12 |
Blase | 0,05 |
Brust | 0,05 |
Leber | 0,05 |
Speiseröhre | 0,05 |
Schilddrüse | 0,05 |
Haut | 0,01 |
Knochenoberfläche | 0,01 |
andere Organe oder Gewebe | 0,05 *) |
*) Für Berechnungszwecke setzen sich die „anderen Organe oder Gewebe“ wie folgt zusammen:
Nebennieren, Gehirn, oberer Dickdarm, Dünndarm, Niere, Muskeln, Bauchspeicheldrüse, Milz, Thymusdrüse und Gebärmutter. Die Liste enthält Organe, die selektiv bestrahlt sein können. Von einigen in der Liste aufgeführten Organen ist bekannt, dass sie zur Krebsinduktion neigen. Wenn bei anderen Geweben und Organen nachträglich ein signifikantes Risiko der Krebsinduktion erkannt wird, werden diese entweder mit einem spezifischen wT versehen oder in diese zusätzliche Liste der anderen Organe oder Gewebe aufgenommen. Letztere kann auch andere selektiv bestrahlte Gewebe oder Organe enthalten.
In den außergewöhnlichen Fällen, in denen ein einziges der anderen Gewebe oder Organe eine Äquivalentdosis erhält, die über der höchsten Dosis in einem der 12 Organe liegt, für die ein Gewebe-Wichtungsfaktor angegeben ist, sollte ein Gewebe-Wichtungsfaktor von 0,025 für dieses Gewebe oder Organ und ein Gewebe-Wichtungsfaktor von 0,025 für die mittlere Dosis der restlichen anderen Organe oder Gewebe, wie oben aufgeführt, gelten.
Schlagworte
Richtungsverteilung
Zuletzt aktualisiert am
04.08.2020
Gesetzesnummer
20004796
Dokumentnummer
NOR40079241
Lizenziert vom RIS (ris.bka.gv.at - CC BY 4.0 DEED)
