Anlage 10
Bestimmung des Gehalts an Vinylchlorid-Monomer in Gebrauchsgegenständen aus Kunststoff
- 1.ZWECK UND ANWENDUNGSBEREICH
- VORSICHT: VC ist ein gefährlicher Stoff und bei Raumtemperatur gasförmig; die Lösungen sollten deshalb in einem gut gelüfteten Abzugsschrank zubereitet werden.
Anmerkung:
- Verluste von VC oder DMA sind möglichst zu vermeiden.
- Bei manueller Probenahme sollte ein interner Standard (3.3) verwendet werden.
- Bei Verwendung eines internen Standards ist während des ganzen Verfahrens die gleiche Lösung zu verwenden.
Ein passender Gasbehälter wird auf 0,1 mg genau gewogen und eine bestimmte Menge (zB 50 ml) DMA (3.2) eingefüllt. Man wiegt erneut. Man gibt flüssiges oder gasförmiges VC (3.1) in einer bestimmten Menge (zB 0,1 g) langsam zum DMA hinzu. Die Zugabe von VC kann auch durch Hineinspülen erfolgen, sofern eine Vorrichtung angewandt wird, mit der DMA-Verluste vermieden werden. Man wiegt nochmals auf 0,1 mg genau. Man wartet zur Einstellung des Gleichgewichts zwei Stunden ab. Die Standardlösung wird im Kühlschrank aufbewahrt.
Anmerkung:
- Die Kurve muss aus mindestens 7 Doppelbestimmungen ermittelt werden.
- Die Wiederholbarkeit des Messwertes (1) muss unter 0,02 mg VC/l oder kg DMA liegen.
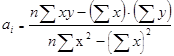
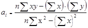
- Die Kurve wird nach den Punkten berechnet, die mit dem Verfahren der kleinsten Quadrate ermittelt werden, dh. die Regressionsgerade wird mittels folgender Gleichung berechnet:
y = ai.x + ao
wo:
und:
wo:
y = die Höhe oder Fläche des Peaks jeder einzelnen Bestimmung,
x = die entsprechende Konzentration auf der Regressionsgeraden,
n = Anzahl der durchgeführten Bestimmungen (n ≥ 14) ist.
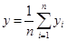
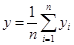
‑ Die Kurve muss linear sein, dh. die Standardabweichung (s) der Unterschiede zwischen den Messwerten (yi) und dem entsprechenden Wert der Regressionsgeraden (zi), geteilt durch den Mittelwert (y) aller Messwerte, darf 0,07 nicht übersteigen.
Dies ist wie folgt zu berechnen:
wo:
yi = ein einzelner Messwert.
zi = der dem Messwert (yi) entsprechende Wert auf der Regressionsgeraden.
n≥14
Man stellt zwei Serien von je mindestens 7 Fläschchen bereit (4.4). In jedes Fläschchen gibt man die notwendigen Mengen verdünnter VC-Standardlösung (5.2) und DMA (3.2) oder interne Standardlösung in DMA (3.3), damit die endgültige VC-Konzentration der doppelt hergestellten Lösungen zirka 0; 0,050; 0,075; 0,100; 0,125; 0,150; 0,200 usw. mg/1 oder mg/kg DMA beträgt und alle Fläschchen dieselbe Menge des nach 5.5 zu verwendenden DMA enthalten. Fläschchen versiegeln und gemäß 5.6 fortfahren. Man stellt ein Diagramm her. Die Ordinate zeigt die Werte der Flächen (oder Höhen) der VC-Peaks der beiden Serien von je 7 Fläschchen oder das Verhältnis dieser Flächen (oder Höhen) zu denjenigen der entsprechenden Peaks des internen Standards. Die Abszisse zeigt die Werte der VC-Konzentrationen der beiden Serien von je 7 Fläschchen.
- 5.4.Gültigkeitsprüfung der nach 5.1 und 5.2 hergestellten Standardlösung
wo:
- X = VC-Konzentration in der Probe des Gebrauchsgegenstands aus Kunststoff in mg/kg,
- C = VC-Konzentration in Fläschchen, die die Probe des Gebrauchsgegenstands aus Kunststoff enthalten (siehe 5.5), in mg/1 oder mg/kg,
- V = DMA-Mengen oder -Masse im Fläschchen, die die Probe des Gebrauchsgegenstands aus Kunststoff enthalten (siehe 5.5), in 1 oder kg,
- M = Menge der Probe des Gebrauchsgegenstands aus Kunststoff in g.
Sofern der nach 6.2 errechnete VC-Gehalt der Gebrauchsgegenstände aus Kunststoff die zulässige Höchstmenge gemäß § 4 Abs. 3 übersteigt, so sind die Ergebnisse der Analysen der beiden Proben (5.6 und 6.1) nach einem der drei nachstehenden Verfahren zu bestätigen:
- Verwendung mindestens einer anderen Säule (4.3) mit einer stationären Phase mit verschiedener Polarität. Dieses Verfahren ist fortzusetzen, bis ein weiteres Chromatogramm erhalten wird, auf dem keine Überlappung von VC-Peak und/oder Peaks der internen Standardlösung mit den Komponenten der Probe des Gebrauchsgegenstands aus Kunststoff festzustellen ist;
- Verwendung eines anderen Detektors, zB des Detektors zur Bestimmung der mikroelektrolytischen Leitfähigkeit;
- mittels Massenspektrometrie; wenn in diesem Fall Molekularionen mit den Massen (m/e) von 62 und 64 im Verhältnis von 3 : 1 gefunden werden, so kann dies mit hoher Wahrscheinlichkeit als Bestätigung des Vorhandenseins von VC betrachtet werden; im Zweifelsfalle ist das gesamte Massenspektrum zu prüfen.
Die Differenz zwischen den Ergebnissen zweier Bestimmungen, die gleichzeitig oder unmittelbar nacheinander mit derselben Probe vom selben Untersucher und unter denselben Bedingungen durchgeführt worden sind, darf nicht mehr als 0,2 mg auf 1 kg der Probe betragen.
Zuletzt aktualisiert am
25.04.2017
Gesetzesnummer
20002952
Dokumentnummer
NOR40045460
Zusatzdokumente: image001, image002, image003, image004, image005, image006
Lizenziert vom RIS (ris.bka.gv.at - CC BY 4.0 DEED)
