Anhang 1
Referenzwerte
Abschnitt 1: Produkt-Referenzwerte
- 1. Festlegung von Produkt-Referenzwerten und Systemgrenzen ohne Berücksichtigung der Austauschbarkeit von Brennstoffen und Strom
- a) Soweit nicht anders angegeben, beziehen sich alle Produkt-Referenzwerte auf 1 Tonne erzeugtes Produkt, ausgedrückt als marktfähige (Netto-)Produktion, und auf den 100% reinen Stoff.
- b) Sämtliche Definitionen der einbezogenen Prozesse und Emissionen (Systemgrenzen) schließen gegebenenfalls Fackeln ein.
Produkt-Referenzwert | Einbezogene Produkte | Einbezogene Verfahren und Emissionen (Systemgrenzen) | Für die Jahre 2013 und 2014 festgestelltes Risiko der Verlagerung von Kohlenstoffdioxid-Emissionen | Referenzwert (Zertifikate pro Tonne) |
Koks | Koks (Erzeugnis aus der Kohleverkokung unter Hochtemperatur) oder Gaskoks (Nebenerzeugnis von Gaswerken), ausgedrückt in Tonnen Trockenkoks. Braunkohlekoks fällt nicht unter diesen Referenzwert. | Einbezogen sind alle Prozesse, die direkt oder indirekt mit folgenden Prozesseinheiten in Zusammenhang stehen: Koksöfen, H2S- bzw. NH3-Verbrennungsanlage, Kohlevorwärmung (Auftauen), Koksgas-Absaugung, Entschwefelungsanlage, Destillationsanlage, Dampfgenerator, Druckkontrolle in den (Koks-)Batterien, biologische Wasserbehandlung, Erwärmung von Nebenerzeugnissen und Wasserstoffseparator. Die Kokereigaswäsche ist einbezogen. | Ja | 0,286 |
Eisenerzsinter | Agglomeriertes eisenhaltiges Produkt aus feinkörnigem Eisenerz, Flussmitteln und eisenhaltigem Recyclingmaterial mit den chemischen und physikalischen Eigenschaften (Basizitätswert, Druckfestigkeit und Durchlässigkeit), die erforderlich sind, um Eisen und die notwendigen Flussmittel in den Prozess der Eisenerzreduktion einzubringen. | Einbezogen sind sämtliche Prozesse, die direkt oder indirekt mit folgenden Prozesseinheiten in Zusammenhang stehen: Sinterband, Zündung, Einrichtungen für die Sintergutvorbereitung, Heißsieb, Sinterkühler, Kaltsieb und Dampfgenerator. | Ja | 0,171 |
Roheisen | Kohlenstoffgesättigte Eisenschmelze für die Weiterverarbeitung | Einbezogen sind sämtliche Prozesse, die direkt oder indirekt mit folgenden Prozesseinheiten in Zusammenhang stehen: Hochofen, Einrichtungen für die Heißmetallbehandlung, Hochofengebläse, Hochofenwinderhitzer, Sauerstoffkonverter, Sekundärmetallurgie, Vakuumanlagen, Guss (und Schneiden), Schlackenaufbereitung, Möllervorbereitung, Gichtgaswäsche, Entstaubung, Schrottvorwärmung, Kohletrocknung für das Einblasen von Feinkohlestaub, Behältervorheizung, Vorwärmeinrichtungen für gegossene Blöcke, Drucklufterzeugung, Staubverarbeitung (Brikettierung), Schlammverarbeitung (Brikettierung), Dampfinjektion im Hochofen, Dampfgenerator, Konvertergaskühlung, und Verschiedenes. | Ja | 1,328 |
Vorgebrannte Anoden | Anoden für die Aluminium-elektrolyse, bestehend aus Petrolkoks, Pech und normal recycelten Anoden, die speziell für eine bestimmte Schmelze geformt und in Anodenbrennöfen bei einer Temperatur von etwa 1150 °C gebrannt werden. | Einbezogen sind sämtliche Prozesse, die direkt oder indirekt mit der Herstellung von vorgebrannten Anoden in Zusammenhang stehen. | Ja | 0,324 |
Aluminium | Nichtlegiertes flüssiges Aluminium in Rohform aus der Elektrolyse | Einbezogen sind sämtliche Prozesse, die direkt oder indirekt mit der Produktionsstufe Elektrolyse in Zusammenhang stehen. | Ja | 1,514 |
Grauzementklinker | Grauzementklinker als insgesamt produzierte Klinkermenge | Einbezogen sind sämtliche Prozesse, die direkt oder indirekt mit der Herstellung von Grauzementklinker in Zusammenhang stehen. | Ja | 0,766 |
Weißzementklinker | Weißzementklinker für den Einsatz als Hauptbindemittel in der Formulierung von Materialien wie Fugenfüller, Fliesenkleber, Dämmmittel und Verankerungsmörtel, Industriebodenmörtel, Verputz-Fertigmischung, Reparaturmörtel und wasserdichte Beschichtungen mit einem Durchschnittsanteil von höchstens 0,4 Massen-% Fe2O3, 0,003 Massen-% Cr2O3 und 0,03 Massen-% Mn2O3 | Einbezogen sind sämtliche Prozesse, die direkt oder indirekt mit der Herstellung von Weißzementklinker in Zusammenhang stehen. | Ja | 0,987 |
Kalk | Branntkalk: Durch Brennen von Kalkstein (CaCO3) gewonnenes Calciumoxid (CaO) als Kalk in Standardreinheit mit einem Gehalt an freiem CaO von 94,5%. Kalk, der in ein und derselben Anlage hergestellt und für Reinigungsverfahren verbraucht wird, fällt nicht unter diese Produkt-Referenzwert. | Einbezogen sind sämtliche Prozesse, die direkt oder indirekt mit der Herstellung von Kalk in Zusammenhang stehen. | Ja | 0,954 |
Dolomitkalk | Dolomitkalk ist gebrannter Dolomit als eine Mischung von Calcium- und Magnesiumoxid und wird durch das Brennen von Dolomit (CaCO3.MgCO3) gewonnen. Der Rest-CO2-Gehalt beträgt mehr als 0,25%, der Gehalt an freiem MgO 25% bis 40%. Die Schüttdichte des Handelserzeugnisses liegt unter 3,05 g/cm3. Dolomitkalk wird in Standardreinheit mit einem Gehalt an freiem CaO von 57,4% und an freiem MgO von 38,0% ausgedrückt. | Einbezogen sind sämtliche Prozesse, die direkt oder indirekt mit der Produktion von Dolomitkalk in Zusammenhang stehen. | Ja | 1,072 |
Sinterdolomit | Mischung aus Calcium- und Magnesiumoxid, die ausschließlich für die Herstellung von feuerfesten Steinen und anderen feuerfesten Erzeugnissen verwendet wird, mit einer Schüttdichte von mindestens 3,05 g/cm3. | Einbezogen sind sämtliche Prozesse, die direkt oder indirekt mit der Produktion von Sinterdolomit in Zusammenhang stehen. | Ja | 1,449 |
Flachglas | Flachglas, Mattglas und poliertes Glas (in Tonnen Glas aus dem Kühlofen). | Einbezogen sind sämtliche Prozesse, die direkt oder indirekt mit den Produktionsschritten Schmelzofen, Läuterbereich, Arbeitswanne, Floatbad und Kühlofen in Zusammenhang stehen. | Ja | 0,453 |
Flaschen und Behälter aus farblosem Glas | Flaschen für Nahrungsmittel und Getränke aus farblosem Glas mit einem Nenninhalt von < 2,5 l (keine Flaschen mit einem Überzug aus Leder oder rekonstituiertem Leder, keine Babyflaschen), ausgenommen hochweißes Flintglas mit einem Eisenoxidgehalt, ausgedrückt in Gewichtsprozent Fe2O3, von weniger als 0,03% und den Farbkoordinaten L im Bereich 100 bis 87, a im Bereich 0 bis ‑5 und b im Bereich 0 bis 3 (unter Anwendung des von der Internationalen Beleuchtungskommission empfohlenen CIE-Lab-Systems), ausgedrückt in Tonnen verpacktes Erzeugnis. | Einbezogen sind sämtliche Prozesse, die direkt oder indirekt mit den Produktionsschritten Materialhandhabung, Schmelzen, Formen, Weiterverarbeitung, Verpackung und sonstigen Tätigkeiten in Zusammenhang stehen. | Ja | 0,382 |
Flaschen und Behälter aus Farbglas | Flaschen für Nahrungsmittel und Getränke aus Farbglas mit einem Nenninhalt von < 2,5 l (keine Flaschen mit einem Überzug aus Leder oder rekonstituiertem Leder, keine Babyflaschen), ausgedrückt in Tonnen verpacktes Erzeugnis | Einbezogen sind sämtliche Prozesse, die direkt oder indirekt mit den Produktionsschritten Materialhandhabung, Schmelzen, Formen, Weiterverarbeitung, Verpackung und sonstigen Tätigkeiten in Zusammenhang stehen. | Ja | 0,306 |
Produkte aus Endlosglasfasern | Geschmolzenes Glas für die Herstellung von Produkten aus Endlosglasfasern, namentlich Kurzglasfasern (chopped strands), Fasersträngen (Rovings), Glasgarnen und Glasstapelfasern sowie Glasfasermatten (ausgedrückt in Tonnen Glasschmelze im Vorherd). Mineralwolle-produkte für Wärme- und Schalldämmung sowie Brandschutz sind nicht einbezogen. | Einbezogen sind sämtliche Prozesse, die direkt oder indirekt mit den Produktionsprozessen Schmelzen von Glas in den Schmelzöfen und Glaskonditionierung in den Vorherden in Zusammenhang stehen. Die weitere Verarbeitung der Fasern in marktfähige Produkte fällt nicht unter diese Produkt-Referenzwert. | Ja | 0,406 |
Vormauer-ziegel | Vormauerziegel mit einer Dichte von mehr als 1000 kg/m3 für Mauerwerk gemäß EN 771-1, ausgenommen Pflasterziegel, Klinker und blaugedämpfte Vormauerziegel. | Einbezogen sind sämtliche Prozesse, die direkt oder indirekt mit den Produktionsprozessen Aufbereiten und Mischen der Rohstoffe, Formen, Trocknen der Rohlinge, Brennen der Ziegel, Fertigstellung des Produkts und Abgaswäsche in Zusammenhang stehen. | Ja | 0,139 |
Pflasterziegel | Tonziegel für Bodenbeläge gemäß EN 1344. | Einbezogen sind sämtliche Prozesse, die direkt oder indirekt mit den Produktionsprozessen Aufbereiten und Mischen der Rohstoffe, Formen, Trocknen der Rohlinge, Brennen der Ziegel, Fertigstellung des Produkts und Abgaswäsche in Zusammenhang stehen. | Ja | 0,192 |
Dachziegel | Tondachziegel gemäß EN 1304:2005, ausgenommen blaugedämpfte Dachziegel und Zubehör. | Einbezogen sind sämtliche Prozesse, die direkt oder indirekt mit den Produktionsprozessen Aufbereiten und Mischen der Rohstoffe, Formen, Trocknen der Rohlinge, Brennen der Ziegel, Fertigstellung des Produkts und Abgaswäsche in Zusammenhang stehen. | Ja | 0,144 |
Sprühgetrocknetes Pulver | Sprühgetrocknetes Pulver für die Herstellung von trockengepressten Wand- und Bodenfliesen, in Tonnen erzeugtes Pulver. | Einbezogen sind sämtliche Prozesse, die direkt oder indirekt mit der Herstellung von sprühgetrocknetem Pulver in Zusammenhang stehen. | Ja | 0,076 |
Gips | Gips aus gebranntem Gipsstein oder Calciumsulfat (einschließlich für Bauzwecke, zum Appretieren von Geweben und Papier, für zahnärztliche Zwecke und für die Bodenmelioration) in Tonnen Stuckgips. Alphagips fällt nicht unter diese Referenzwert. | Einbezogen sind sämtliche Prozesse, die direkt oder indirekt mit den Produktionsschritten Zermahlen, Trocknen und Brennen in Zusammenhang stehen. | Nein | 0,048 |
Getrockneter Sekundärgips | Getrockneter Sekundärgips (synthetischer Gips, der als recyceltes Nebenprodukt der Stromindustrie oder als Recyclingmaterial aus Bauabfällen und -schutt anfällt), ausgedrückt in Tonnen des Produkts. | Einbezogen sind sämtliche Prozesse, die direkt oder indirekt mit dem Trocknen von Sekundärgips in Zusammenhang stehen. | Nein | 0,017 |
Kurzfaser-Sulfatzellstoff | Kurzfaser-Sulfatzellstoff ist ein Faserstoff, der mit dem auf dem Einsatz von Kochlauge basierenden Sulfatverfahren gewonnen wird und eine Faserlänge von 1-1,5 mm aufweist. Er wird überwiegend für Produkte verwendet, für die eine besondere Glätte und Grammatur erforderlich ist, wie Tissuepapier und Druckpapier. Die Referenzwert wird ausgedrückt als marktfähige Nettoproduktion in Adt (Air dried tonnes - luftgetrocknete Tonnen). | Einbezogen sind sämtliche Prozesse, die Teil des Zellstoffproduktionsprozesses sind (insbesondere Aufschlussanlage, Laugenrückgewinnungskessel, Zellstofftrocknung und Kalkofen sowie angeschlossene Anlagen zur Energieumwandlung (Kessel/KWK). Andere Tätigkeiten am Anlagenstandort, die nicht Teil dieses Prozesses sind, wie Sägereiarbeiten, Holzverarbeitung, Erzeugung von für den Verkauf bestimmten Chemikalien, Abfallbehandlung (interne statt externer Abfallbehandlung (Trocknen, Pelletieren, Verbrennen, Einlagern in Deponie), Erzeugung von synthetischem Calciumcarbonat (PCC - precipitated calcium carbonate), Behandlung übelriechender Gase und Fernwärme sind nicht einbezogen. | Ja | 0,12 |
Langfaser-Sulfatzellstoff | Langfaser-Sulfatzellstoff ist ein Faserstoff, der mit dem auf dem Einsatz von Kochlauge basierenden Sulfatverfahren gewonnen wird und eine Faserlänge von 3-3,5 mm aufweist. Er wird überwiegend für Produkte verwendet, für die Festigkeit erforderlich ist, wie Packpapier. Der Referenzwert wird ausgedrückt als marktfähige Nettoproduktion in Adt. | Einbezogen sind sämtliche Prozesse, die Teil des Zellstoffproduktionsprozesses sind (insbesondere Aufschlussanlage, Laugenrückgewinnungskessel, Zellstofftrocknung und Kalkofen sowie angeschlossene Anlagen zur Energieumwandlung (Kessel/KWK). Andere Tätigkeiten am Anlagenstandort, die nicht Teil dieses Prozesses sind, wie Sägereiarbeiten, Holzverarbeitung, Erzeugung von für den Verkauf bestimmten Chemikalien, Abfallbehandlung (interne statt externer Abfallbehandlung (Trocknen, Pelletieren, Verbrennen, Einlagern in Deponie), Erzeugung von synthetischem Calciumcarbonat (PCC), Behandlung übelriechender Gase und Fernwärme sind nicht einbezogen. | Ja | 0,06 |
Sulfitzellstoff, thermo-mechanischer und mechanischer Holzstoff | Durch ein besonderes Aufschlussverfahren, z. B. durch Kochen von Hackschnitzeln mit Bisulfitlauge unter Druck gewonnener Zellstoff (Sulfitzellstoff), ausgedrückt als marktfähige Nettoproduktion in Adt. Sulfitzellstoff kann gebleicht oder ungebleicht sein. Qualitäten von mechanischem Holzstoff: TMP (thermomechanischer Holzstoff) und Holzschliff als marktfähige Nettoproduktion in Adt. Mechanischer Holzstoff kann gebleicht oder ungebleicht sein. Nicht unter diese Gruppe fallen die kleineren Untergruppen halbchemischer Zellstoff und CTMP (chemisch-thermomechanischer Zellstoff) und Chemiezellstoff. | Einbezogen sind sämtliche Prozesse, die Teil des Zellstoffproduktionsprozesses sind (insbesondere Aufschlussanlage, Laugenrückgewinnungskessel, Zellstofftrocknung und Kalkofen sowie angeschlossene Anlagen zur Energieumwandlung (Kessel/KWK). Andere Tätigkeiten am Anlagenstandort, die nicht Teil dieses Prozesses sind, wie Sägereiarbeiten, Holzverarbeitung, Erzeugung von für den Verkauf bestimmten Chemikalien, Abfallbehandlung (interne statt externer Abfallbehandlung (Trocknen, Pelletieren, Verbrennen, Einlagern in Deponie), Erzeugung von synthetischem Calciumcarbonat (PCC), Behandlung übelriechender Gase und Fernwärme sind nicht einbezogen. | Ja | 0,02 |
Faserstoff aus Altpapier | Faserstoff aus Fasern, die aus wieder aufbereitetem Papier oder Pappe (Altpapier bzw. -pappe und Ausschuss) oder anderen cellulosehaltigen Faserstoffen gewonnen wurden, ausgedrückt als marktfähige Nettoproduktion in Adt. | Einbezogen sind sämtliche Prozesse, die Teil der Zellstoffproduktion aus wieder aufbereitetem Papier sind, sowie angeschlossene Anlagen zur Energieumwandlung (Kessel/KWK). Andere Tätigkeiten am Anlagenstandort, die nicht Teil dieses Prozesses sind, wie Sägereiarbeiten, Holzverarbeitung, Erzeugung von für den Verkauf bestimmten Chemikalien, Abfallbehandlung (interne statt externer Abfallbehandlung (Trocknen, Pelletieren, Verbrennen, Einlagern in Deponie), Erzeugung von synthetischem Calciumcarbonat (PCC), Behandlung übelriechender Gase und Fernwärme sind nicht einbezogen. | Ja | 0,039 |
Zeitungsdruckpapier | Besondere Papierart (in Rollen oder Bögen) für den Druck von Zeitungen, ausgedrückt als marktfähige Nettoproduktion in Adt. Das Papier wird aus Holzschliff oder mechanischem Zellstoff oder recycelten Fasern oder einer beliebigen Kombination aus beidem hergestellt. Die Grammatur liegt in der Regel zwischen 40 und 52 g/m2, kann jedoch auch 65 g/m2 erreichen. Zeitungsdruckpapier ist maschinenglatt oder leicht kalandriert, weiß oder leicht farbig und wird in Rollen für Hoch-, Offset- oder Flexodruck verwendet. | Einbezogen sind sämtliche Prozesse, die Teil der Papierherstellung sind (insbesondere Papier- oder Kartonmaschine sowie angeschlossene Anlagen zur Energieumwandlung (Kessel/KWK) und direkt für den Produktionsprozess verwendeter Brennstoff). Andere Tätigkeiten am Anlagenstandort, die nicht Teil dieses Prozesses sind, wie Sägereiarbeiten, Holzverarbeitung, Erzeugung von für den Verkauf bestimmten Chemikalien, Abfallbehandlung (interne statt externer Abfallbehandlung (Trocknen, Pelletieren, Verbrennen, Einlagern in Deponie), Erzeugung von synthetischem Calciumcarbonat (PCC), Behandlung übelriechender Gase und Fernwärme sind nicht einbezogen. | Ja | 0,298 |
Ungestrichenes Feinpapier | Ungestrichenes Feinpapier (umfasst sowohl ungestrichenes mechanisches als auch ungestrichenes holzfreies Papier), ausgedrückt als marktfähige Nettoproduktion in Adt: 1. Ungestrichenes holzfreies Papier, das für Druck- und andere Grafikzwecke geeignet ist und aus verschiedenen überwiegend aus Frischfasern bestehenden Mischungen hergestellt wird, in unterschiedlichem Maße mineralische Füllstoffe enthält und unterschiedlich nachbehandelt wird. Zu dieser Papierart gehören die meisten Büropapiere wie Geschäftsdrucksachen, Kopier-, Computer-, Brief- und Werkdruckpapier. 2. Ungestrichenes mechanisches Papier ist aus mechanischem Zellstoff hergestelltes Papier, das für Verpackungen, Grafikzwecke oder Zeitschriften verwendet wird. | Einbezogen sind sämtliche Prozesse, die Teil der Papierherstellung sind (insbesondere Papier- oder Kartonmaschine sowie angeschlossene Anlagen zur Energieumwandlung (Kessel/KWK) und direkt für den Produktionsprozess verwendeter Brennstoff). Andere Tätigkeiten am Anlagenstandort, die nicht Teil dieses Prozesses sind, wie Sägereiarbeiten, Holzverarbeitung, Erzeugung von für den Verkauf bestimmten Chemikalien, Abfallbehandlung (interne statt externer Abfallbehandlung (Trocknen, Pelletieren, Verbrennen, Einlagern in Deponie), Erzeugung von synthetischem Calciumcarbonat (PCC), Behandlung übelriechender Gase und Fernwärme sind nicht einbezogen. | Ja | 0,318 |
Gestrichenes Feinpapier | Gestrichenes Feinpapier (umfasst sowohl gestrichenes mechanisches als auch gestrichenes holzfreies Papier), ausgedrückt als marktfähige Nettoproduktion in Adt: 1. Gestrichenes holzfreies Papier aus vorwiegend durch ein chemisches Aufschlussverfahren gewonnenen Fasern, das im Prozessablauf gestrichen wird und für verschiedene Verwendungszwecke geeignet ist (auch bekannt als WFC-Papier). Diese Gruppe konzentriert sich im Wesentlichen auf Druckpapier. 2. Gestrichenes mechanisches Papier aus mechanischem Zellstoff, das für Grafikzwecke und Zeitschriften verwendet wird. Diese Gruppe wird auch als gestrichenes Holzschliffpapier bezeichnet. | Einbezogen sind sämtliche Prozesse, die Teil der Papierherstellung sind (insbesondere Papier- oder Kartonmaschine sowie angeschlossene Anlagen zur Energieumwandlung (Kessel/KWK) und direkt für den Produktionsprozess verwendeter Brennstoff). Andere Tätigkeiten am Anlagenstandort, die nicht Teil dieses Prozesses sind, wie Sägereiarbeiten, Holzverarbeitung, Erzeugung von für den Verkauf bestimmten Chemikalien, Abfallbehandlung (interne statt externer Abfallbehandlung (Trocknen, Pelletieren, Verbrennen, Einlagern in Deponie), Erzeugung von synthetischem Calciumcarbonat (PCC), Behandlung übelriechender Gase und Fernwärme sind nicht einbezogen. | Ja | 0,318 |
Hygienepapier | Hygienepapier, ausgedrückt als marktfähige Nettoproduktion in Mutterrollen, umfasst eine breite Palette von Tissue- und anderen Hygienepapieren für den Haushalt oder für gewerbliche oder industrielle Einrichtungen (Toilettenpapier, Kosmetiktücher, Küchenwischtücher, Papierhandtücher und Industriewischtücher, für die Herstellung von Babywindeln, Hygienebinden usw. Hygienepapier, das im Durchströmverfahren getrocknet wurde (TAD-Tissue) gehört nicht zu dieser Gruppe. | Einbezogen sind sämtliche Prozesse, die Teil der Papierherstellung sind (insbesondere Papier- oder Kartonmaschine sowie angeschlossene Anlagen zur Energieumwandlung (Kessel/KWK) und direkt für den Produktionsprozess verwendeter Brennstoff). Andere Tätigkeiten am Anlagenstandort, die nicht Teil dieses Prozesses sind, wie Sägereiarbeiten, Holzverarbeitung, Erzeugung von für den Verkauf bestimmten Chemikalien, Abfallbehandlung (interne statt externer Abfallbehandlung (Trocknen, Pelletieren, Verbrennen, Einlagern in Deponie), Erzeugung von synthetischem Calciumcarbonat (PCC), Behandlung übelriechender Gase und Fernwärme sind nicht einbezogen. Die Umwandlung von Mutterrollengewicht in Endprodukt ist nicht Teil dieser Produkt-Referenzwert. | Ja | 0,334 |
Testliner und Fluting | Testliner und Fluting, ausgedrückt als marktfähige Nettoproduktion in Adt: 1. Testliner sind Pappesorten, die bestimmte, von der Verpackungsindustrie vorgegebene Tests bestehen und sich als Decklage von Wellpappe für Versandkartons eignen. Testliner werden überwiegend aus Recyclingfasern hergestellt. 2. Fluting bezeichnet bei Versandkartons aus Wellpappe die Zwischenschicht zwischen den beiden Decklagen (Testliner/ Kraftliner). Fluting besteht überwiegend aus Papier aus Recyclingfasern, unter diese Gruppe fällt aber auch Pappe aus chemischem und halbchemischem Zellstoff. | Einbezogen sind sämtliche Prozesse, die Teil der Papierherstellung sind (insbesondere Papier- oder Kartonmaschine sowie angeschlossene Anlagen zur Energieumwandlung (Kessel/KWK) und direkt für den Produktionsprozess verwendeter Brennstoff). Andere Tätigkeiten am Anlagenstandort, die nicht Teil dieses Prozesses sind, wie Sägereiarbeiten, Holzverarbeitung, Erzeugung von für den Verkauf bestimmten Chemikalien, Abfallbehandlung (interne statt externer Abfallbehandlung (Trocknen, Pelletieren, Verbrennen, Einlagern in Deponie), Erzeugung von synthetischem Calciumcarbonat (PCC), Behandlung übelriechender Gase und Fernwärme sind nicht einbezogen. | Ja | 0,248 |
Ungestrichener Karton | Diese Referenzwert schließt eine breite Palette ungestrichener Produkte ein (ausgedrückt als marktfähige Nettoproduktion in Adt), die einzel- oder mehrlagig sein können. Ungestrichener Karton wird vorwiegend für Verpackungszwecke verwendet, bei denen vor allem Stärke und Steifigkeit gefragt sind, während der gewerbliche Aspekt als Informationsträger zweitrangig ist. Karton wird aus Frisch- und/oder Altfasern hergestellt, hat gute Falteigenschaften, hohe Steifigkeit sowie Rillfähigkeit. Er wird vor allem zur Verpackung von Verbrauchsgütern wie Tiefkühlkost, Kosmetika oder für Flüssigkeitsbehälter verwendet. Wird auch als Vollpappe, Faltschachtelkarton, Kartonagenpappe, Verpackungskarton oder Wickelkarton bezeichnet. | Einbezogen sind sämtliche Prozesse, die Teil der Papierherstellung sind (insbesondere Papier- oder Kartonmaschine sowie angeschlossene Anlagen zur Energieumwandlung (Kessel/KWK) und direkt für den Produktionsprozess verwendeter Brennstoff). Andere Tätigkeiten am Anlagenstandort, die nicht Teil dieses Prozesses sind, wie Sägereiarbeiten, Holzverarbeitung, Erzeugung von für den Verkauf bestimmten Chemikalien, Abfallbehandlung (interne statt externer Abfallbehandlung (Trocknen, Pelletieren, Verbrennen, Einlagern in Deponie), Erzeugung von synthetischem Calciumcarbonat (PCC), Behandlung übelriechender Gase und Fernwärme sind nicht einbezogen. | Ja | 0,237 |
Gestrichener Karton | Diese Referenzwert schließt eine breite Palette gestrichener Produkte ein (ausgedrückt als marktfähige Nettoproduktion in Adt) ein, die einzel- oder mehrlagig sein können. Gestrichener Karton wird vorwiegend für Gewerbezwecke verwendet, bei denen die Produktangaben auf der Verpackung von Nahrungsmitteln, Arzneimitteln, Kosmetika und Sonstigem in den Ladenregalen sichtbar sein müssen. Karton wird aus Frisch- oder Altfasern hergestellt, und hat gute Falteigenschaften, hohe Steifigkeit sowie Rillfähigkeit. Er wird vor allem zur Verpackung von Verbrauchsgütern wie Tiefkühlkost, Kosmetika oder für Flüssigkeitsbehälter verwendet. Wird auch als Vollpappe, Faltschachtelkarton, Kartonagenpappe, Verpackungskarton oder Wickelkarton bezeichnet. | Einbezogen sind sämtliche Prozesse, die Teil der Papierherstellung sind (insbesondere Papier- oder Kartonmaschine sowie angeschlossene Anlagen zur Energieumwandlung (Kessel/KWK) und direkt für den Produktionsprozess verwendeter Brennstoff). Andere Tätigkeiten am Anlagenstandort, die nicht Teil dieses Prozesses sind, wie Sägereiarbeiten, Holzverarbeitung, Erzeugung von für den Verkauf bestimmten Chemikalien, Abfallbehandlung (interne statt externer Abfallbehandlung (Trocknen, Pelletieren, Verbrennen, Einlagern in Deponie), Erzeugung von synthetischem Calciumcarbonat (PCC), Behandlung übelriechender Gase und Fernwärme sind nicht einbezogen. | Ja | 0,273 |
Salpetersäure | Salpetersäure (HNO3), zu erfassen in Tonnen HNO3 (100%). | Einbezogen sind sämtliche Prozesse, die direkt oder indirekt mit der Erzeugung des Produkts, für das die Referenzwert gilt, sowie mit der Zerstörung von N2O in Zusammenhang stehen, ausgenommen die Ammoniakerzeugung. | Ja | 0,302 |
Adipinsäure | Adipinsäure, zu erfassen als Tonnen getrocknete gereinigte Adipinsäure in Speichersilos oder in Bigbags oder Säcke verpackt. | Einbezogen sind sämtliche Prozesse, die direkt oder indirekt mit der Erzeugung des Produkts, für das die Referenzwert gilt, sowie mit der Zerstörung von N2O in Zusammenhang stehen. | Ja | 2,79 |
Vinylchloridmonomer (VCM) | Vinylchlorid (Chlorethylen) | Einbezogen sind sämtliche Prozesse, die direkt oder indirekt mit den Produktionsschritten Direktchlorierung, Oxychlorierung und Cracken von Ethylendichlorid zu VCM in Zusammenhang stehen. | Ja | 0,204 |
Phenol / Aceton | Gesamtproduktion von Phenol, Aceton und dem Nebenprodukt Alphamethylstyrol (AMS) zusammen. | Einbezogen sind sämtliche Prozesse, die direkt oder indirekt mit der Herstellung von Phenol und Aceton in Zusammenhang stehen. Dazu gehören namentlich Drucklufterzeugung, Hydroperoxidierung, Cumolrückgewinnung aus der Abluft, Aufkonzentration und Spaltung, Fraktionierung und Reinigung, Teercracking, Rückgewinnung und Reinigung von Acetophenon, Rückgewinnung von AMS zur Abgabe aus der Anlage, AMS-Hydrierung zwecks Recycling innerhalb der Systemgrenzen, erste Abwasserreinigung (1. Wasserwäsche), Kühlwassererzeugung (z. B. Kühltürme), Kühlwassereinsatz (Umlaufpumpen), Fackeln und Verbrennungsanlagen (auch physisch außerhalb de Systemgrenzen gelegene) sowie Brennstoffverbrauch für Hilfstätigkeiten. | Ja | 0,266 |
S-PVC | Polyvinylchlorid; nicht gemischt mit anderen Stoffen, bestehend aus PVC-Partikeln mit einer mittleren Größe von 50-200 µm. | Einbezogen sind sämtliche Prozesse, die direkt oder indirekt mit der Produktion von S-PVC in Zusammenhang stehen, ausgenommen die Erzeugung von VCM. | Ja | 0,085 |
E-PVC | Polyvinylchlorid; nicht gemischt mit anderen Stoffen, bestehend aus PVC-Partikeln mit einer mittleren Größe von 0,1-3 µm. | Einbezogen sind sämtliche Prozesse, die direkt oder indirekt mit der Produktion von E-PVC in Zusammenhang stehen, ausgenommen die Erzeugung von VCM. | Ja | 0,238 |
Soda | Natriumcarbonat als Bruttogesamtproduktion, ausgenommen Schwersoda, das als Nebenerzeugnis in einem Caprolactam-Produktionsnetz anfällt. | Einbezogen sind sämtliche Prozesse, die direkt oder indirekt mit folgenden Prozesseinheiten in Zusammenhang stehen: Reinigung der Salzlösung, Kalkofen und Kalkmilcherzeugung, Ammoniakabsorption, Ausfällen von NaHCO3, Ausfiltern oder Separieren der NaHCO3-Kristalle aus der Mutterlösung, Aufspaltung von NaHCO3 zu Na3CO3, Ammoniakrückgewinnung und Verdichtung oder Gewinnung von Schwersoda. | Ja | 0,843 |
- 2. Festlegung von Produkt-Referenzwerten und Systemgrenzen unter Berücksichtigung der Austauschbarkeit von Brennstoffen und Strom
- a) Soweit nicht anders angegeben beziehen sich alle Produkt-Referenzwerte auf 1 Tonne erzeugtes Produkt, ausgedrückt als marktfähige (Netto-)Produktion, und auf den 100% reinen Stoff.
- b) Sämtliche Definitionen der einbezogenen Prozesse und Emissionen (Systemgrenzen) schließen gegebenenfalls Fackeln ein.
Produkt-Referenzwert | Einbezogene Produkte | Einbezogene Verfahren und Emissionen (Systemgrenzen) | Für die Jahre 2013 und 2014 festgestelltes Risiko der Verlagerung von Kohlenstoffdioxid-Emissionen | Referenz-wert (Zertifikate pro Tonne) |
Raffinerieprodukte | Gemisch von Raffinerieprodukten mit über 40% leichten Produkten (Motorenbenzin (Ottokraftstoff), einschließlich Flugbenzin, leichtem Flugturbinenkraftstoff, anderen Leichtölen, Spezialbenzin, Leuchtöl (Kerosin), einschließlich Flugturbinenkraftstoff auf Petroleumbasis, Gasöl), ausgedrückt als CWT (CO2-gewichtete Tonne). | Einbezogen sind sämtliche Raffinerieprozesse, die der Definition einer der zur Berechnung der CWT einbezogenen Prozesseinheiten entsprechen, sowie nicht prozessbezogene Hilfseinrichtungen innerhalb des Raffineriegeländes, wie Tanklager, Mischanlagen und Kläranlagen usw. Für die Bestimmung der indirekten Emissionen wird der Gesamtstromverbrauch innerhalb der Systemgrenzen betrachtet. | Ja | 0,0295 |
Im Elektrolichtbogenverfahren gewonnener Kohlenstoffstahl | Stahl mit einem Gehalt an metallischen Legierungselementen von weniger als 8% und einem Stahlbegleitergehalt in einem Umfang, der den Einsatz auf die Verwendungen beschränkt, für die keine hohe Oberflächenqualität und Verarbeitbarkeit erforderlich sind. | Einbezogen sind sämtliche Prozesse, die direkt oder indirekt mit folgenden Prozessanlagen bzw. Prozessen in Zusammenhang stehen: Elektrolichtbogenofen, Sekundärmetallurgie, Gießen und Schneiden, Nachverbrennungskammer, Entstaubungsanlage, Behälterheizung, Vorwärmeinrichtungen für gegossene Blöcke, Schrotttrocknung und Schrottvorwärmung. Für die Bestimmung der indirekten Emissionen wird der Gesamtstromverbrauch innerhalb der Systemgrenzen betrachtet. | Ja | 0,283 |
Im Elektrolichtbogenverfahren gewonnener hochlegierter Stahl | Stahl mit einem Gehalt an metallischen Legierungselementen von 8% oder mehr oder für Verwendungen, für die hohe Oberflächenqualität und Verarbeitbarkeit erforderlich sind. | Einbezogen sind sämtliche Prozesse, die direkt oder indirekt mit folgenden Prozessanlagen bzw. Prozessen in Zusammenhang stehen: Elektrolichtbogenofen, Sekundärmetallurgie, Gießen und Schneiden, Nachverbrennungskammer, Entstaubungsanlage, Behälterheizung, Vorwärmeinrichtung für gegossene Blöcke, Grube für langsames Abkühlen, Schrotttrocknung und Schrottvorwärmung. Die Prozesseinheiten Ferrochrom-Konverter und Kryolager für Industriegase sind nicht einbezogen. Für die Bestimmung der indirekten Emissionen wird der Gesamtstromverbrauch innerhalb der Systemgrenzen betrachtet. | Ja | 0,352 |
Eisenguss | Gusseisen, ausgedrückt in Tonnen fertig legiertes, umgeschmolzenes und gießfertiges Flüssigeisen. | Einbezogen sind sämtliche Prozesse, die direkt oder indirekt mit den Prozessschritten Schmelzofen, Gießanlage, Kernmacherei und Endbearbeitung in Zusammenhang stehen. Für die Bestimmung der indirekten Emissionen wird lediglich der Stromverbrauch von Schmelzprozessen innerhalb der Systemgrenzen betrachtet. | Ja | 0,325 |
Mineralwolle | Aus Glas, Gestein oder Schlacke hergestellte Dämmstoffe aus Mineralwolle für Wärme- und Schalldämmung sowie Brandschutz. | Einbezogen sind sämtliche Prozesse, die direkt oder indirekt mit den Produktionsschritten Schmelzen, Zerfaserung und Aufsprühen von Bindemitteln, Erhärten und Formen in Zusammenhang stehen. Für die Bestimmung der indirekten Emissionen wird der Gesamtstromverbrauch innerhalb der Systemgrenzen betrachtet. | Nein | 0,682 |
Gipskarton | Der Referenzwert umfasst Platten, Tafeln, Dielen, Fliesen und dergleichen aus Gips oder aus Mischungen auf der Grundlage von Gips, (nicht) mit Papier oder Pappe überzogen oder verstärkt, ausgenommen gipsgebundene, verzierte Waren (in Tonnen Stuckgips). Hochdichte Gipsfaserplatten fallen nicht unter diesen Produkt-Referenzwert. | Einbezogen sind sämtliche Prozesse, die direkt oder indirekt mit den Produktionsschritten Zermahlen, Trocknen, Brennen und Trocknen des Kartonmantels in Zusammenhang stehen. Für die Bestimmung der indirekten Emissionen wird lediglich der Stromverbrauch der Wärmepumpen in der Trocknungsphase betrachtet. | Nein | 0,131 |
Industrieruß („Carbon Black“) | Furnace-Ruß. Gas- und Flammruß fallen nicht unter diesen Referenzwert. | Einbezogen sind sämtliche Prozesse, die direkt oder indirekt mit der Erzeugung von Furnace-Ruß sowie mit der Endbearbeitung, der Verpackung und dem Abfackeln in Zusammenhang stehen. Für die Bestimmung der indirekten Emissionen wird der Gesamtstromverbrauch innerhalb der Systemgrenzen betrachtet. | Ja | 1,954 |
Ammoniak | Ammoniak (NH3); erfasst in Tonnen Produktionsmenge. | Einbezogen sind sämtliche Prozesse, die direkt oder indirekt mit der Herstellung von Ammoniak und dem Zwischenprodukt Wasserstoff in Zusammenhang stehen. Für die Bestimmung der indirekten Emissionen wird der Gesamtstromverbrauch innerhalb der Systemgrenzen betrachtet. | Ja | 1,619 |
Steamcracken | Gemisch chemischer Wertprodukte, ausgedrückt als die Gesamtmasse von Acetylen, Ethen, Propen, Butadien, Benzol und Wasserstoff, ausgenommen chemische Wertprodukte aus zusätzlichem Einsatzgut (Wasserstoff, Ethen, sonstige chemische Wertprodukte), mit einem Ethengehalt des gesamten Produktgemischs von mindestens 30 Massen-% und einem Gehalt an chemischen Wertprodukten, Brenngas, Butenen und flüssigen Kohlenwasserstoffen von zusammen mindestens 50 Massen-% des Gesamtgemischs. | Einbezogen sind sämtliche Prozesse, die direkt oder indirekt mit der Herstellung chemischer Wertprodukte als gereinigtes Produkt oder als Zwischenprodukt mit einem konzentrierten Gehalt des betreffenden chemischen Wertprodukts in der niedrigsten marktfähigen Form (Roh-C4, nicht hydriertes Pyrolysebenzin) in Zusammenhang stehen, ausgenommen C4-Trennung (Butadien-Anlage), C4-Hydrierung, Hydrotreating von Pyrolysebenzin und Aromatenextraktion sowie Logistik und Bestände für den laufenden Betrieb. Für die Bestimmung der indirekten Emissionen wird der Gesamtstromverbrauch innerhalb der Systemgrenzen betrachtet. | Ja | 0,702 |
Aromaten | Aromatengemisch, ausgedrückt als CO2-gewichtete Tonne (CWT). | Einbezogen sind alle Prozesse, die direkt oder indirekt mit den aromatenspezifischen Unteranlagen Pyrolysebenzin-Hydrotreater, Für die Bestimmung der indirekten Emissionen wird der Gesamtstromverbrauch innerhalb der Systemgrenzen betrachtet. | Ja | 0,0295 |
Styrol | Monomeres Styrol (Vinylbenzol, CAS-nummer: 100-42-5) | Einbezogen sind alle Prozesse, die direkt oder indirekt mit der Styrolproduktion und mit dem Zwischenprodukt Ethylbenzol (in der Menge, die als Einsatzstoff für die Styrolproduktion verwendet wird) in Zusammenhang stehen. Für die Bestimmung der indirekten Emissionen wird der Gesamtstromverbrauch innerhalb der Systemgrenzen betrachtet. | Ja | 0,527 |
Wasserstoff | Reiner Wasserstoff und Wasserstoff-Kohlenmonoxid-Gemische mit einem Wasserstoffanteil von mindestens 60 Mol-% des insgesamt enthaltenen Wasserstoffs und Kohlenmonoxids zusammengenommen, auf der Basis der aggregierten wasserstoff- und kohlenmonoxidhaltigen Produktströme, die aus der betreffenden Unteranlage exportiert werden, ausgedrückt als 100% Wasserstoff. | Einbezogen sind alle Prozesselemente, die direkt oder indirekt mit der Herstellung von Wasserstoff und der Trennung von Wasserstoff und Kohlenmonoxid in Zusammenhang stehen. Diese Elemente liegen zwischen a) den Eintrittspunkten von Kohlenwasserstoff-Einsatzgut und, falls gesondert, Brennstoff(en), b) den Austrittspunkten aller wasserstoff- bzw. kohlenmonoxidhaltigen Produktströme und c) den Eintritts- bzw. Austrittspunkten von importierter oder exportierter Wärme. Für die Bestimmung der indirekten Emissionen wird der Gesamtstromverbrauch innerhalb der Systemgrenzen betrachtet. | Ja | 8,85 |
Synthesegas | Wasserstoff-Kohlenmonoxid-Gemische mit einem Wasserstoffanteil von weniger als 60 Molprozent des insgesamt enthaltenen Wasserstoffs und Kohlenmonoxids zusammengenommen auf der Basis der aggregierten wasserstoff- und kohlenmonoxidhaltigen Produktströme, die aus der betreffenden Unteranlage exportiert werden, bezogen auf 47 Volumen-Prozent Wasserstoff. | Einbezogen sind alle Prozessbestandteile, die direkt oder indirekt mit der Herstellung von Synthesegas und der Trennung von Wasserstoff und Kohlenmonoxid in Zusammenhang stehen. Diese Elemente liegen zwischen a) den Eintrittspunkten von Kohlenwasserstoff-Einsatzgut und, falls gesondert, Brennstoff(en), b) den Austrittspunkten aller wasserstoff- bzw. kohlenmonoxidhaltigen Produktströme und c) den Eintritts- bzw. Austrittspunkten von importierter oder exportierter Wärme. Für die Bestimmung der indirekten Emissionen wird der Gesamtstromverbrauch innerhalb der Systemgrenzen betrachtet. | Ja | 0,242 |
Ethylenoxid / Ethylenglycole | Der Referenzwert für Ethylenoxid bzw. Ethylenglycol schließt folgende Produkte ein: Ethylenoxid (EO, hochrein), Monoethylenglycol (MEG, Standardqualität und Faserqualität (hochrein)), Diethylenglycol (DEG) und Triethylenglycol (TEG). Die Gesamtproduktmenge wird ausgedrückt in EO-Äquivalent, das als die in eine Masseneinheit des betreffenden Glycols eingebettete Menge EO (als Masse) definiert ist. | Einbezogen sind sämtliche Prozesse, die direkt oder indirekt mit den Prozessteilen EO-Herstellung, EO-Reinigung und Glycolbereich in Zusammenhang stehen Dieser Produkt-Referenzwert umfasst den Gesamtstromverbrauch (mit den damit zusammenhängenden indirekten Emissionen) innerhalb der Systemgrenzen. | Ja | 0,512 |
- 3. Wärme- und Brennstoff-Referenzwerte
Wärme-Referenzwert | 62,3 Emissionszertifikate pro Terajoule |
Brennstoff-Referenzwert | 56,1 Emissionszertifikate pro Terajoule |
Abschnitt 2: Produktspezifische Referenzwerte
- 1. Referenzwert „Raffinerieprodukte“: CWT-Funktionen
CWT-Funktion | Beschreibung | Basis (Kilotonnen pro Jahr) | CWT-Faktor |
Atmosphärische Destillation | Anlage für milde Destillation von Rohöl, Anlage für Standarddestillation von Rohöl | F | 1,00 |
Vakuumdestillation | Fraktionierung im milden Vakuum, Standardvakuumkolonne, Vakuumfraktionierungskolonne Der Vakuumdestillationsfaktor umfasst auch die durchschnittliche Energie und die durchschnittlichen Emissionen der HFV-Anlage (Heavy Feed Vacuum). Da diese immer in Reihe mit der MVU betrieben wird, wird die HFV-Kapazität nicht separat gezählt. | F | 0,85 |
Lösemittel-Entasphaltierung | Konventionelles Lösemittel, Superkritisches Lösemittel | F | 2,45 |
Visbreaking | Atmosphärischer Rückstand (ohne Soaker), atmosphärischer Rückstand (mit Soaker), Vakuumrückstand (ohne Soaker), Vakuumrückstand (mit Soaker) Der Visbreaking-Faktor umfasst auch die durchschnittliche Energie und die durchschnittlichen Emissionen der Vakuum-Verdampfungskolonne (VAC VFL), aber die Kapazität wird nicht separat gezählt. | F | 1,40 |
Thermisches Cracken | Der Thermal-cracking-Faktor umfasst auch die durchschnittliche Energie und die durchschnittlichen Emissionen der Vakuum-Verdampfungskolonne (VAC VFL), aber die Kapazität wird nicht separat gezählt. | F | 2,70 |
Delayed Coking | Delayed Coking | F | 2,20 |
Fluid Coking | Fluid Coking | F | 7,60 |
Flexicoking | Flexicoking | F | 16,60 |
Kokskalzinierung | Drehrohröfen für Vertikal- und Horizontalbetrieb | P | 12,75 |
Katalytische Cracken im Fließbettverfahren | Katalytische Cracken im Fließbettverfahren, mildes katalytisches Cracken von Rückständen, katalytisches Cracken von Rückständen | F | 5,50 |
Anderes katalytisches Cracken | Katalytisches Cracken nach dem Houdry-Verfahren, katalytisches Cracken nach dem Thermofor-Verfahren | F | 4,10 |
Hydrocracken von Destillat/Gasöl | Mild Hydrocracking, Severe Hydrocracking, Naphtha Hydrocracking | F | 2,85 |
Hydrocracken von Rückständen | H-Oil, LC-Fining™ und Hycon | F | 3,75 |
Hydrotreating von Naphtha/Gasöl | Benzolsättigung, Entschwefelung von C4–C6-Einsatzstoffen, konventionelles Hydrotreating von Naphtha, Sättigung von Dienen zu Olefinen, Sättigung von Dienen zu Olefinen des Alkylierungseinsatzstoffs, Hydrotreating von FCC-Gasöl mit minimalem Oktanverlust, olefinische Alkylierung von Thio S, S-Zorb™-Verfahren, selektives Hydrotreating von Pyrolysebenzin/Naphtha, Entschwefelung von Pyrolysebenzin/Naphtha, selektives Hydrotreating von Pyrolysebezin/Naphtha Der Naphtha-Hydrotreating-Faktor umfasst Energie und Emissionen des Reaktors für selektives Hydrotreating (NHYT/RXST), aber die Kapazität wird nicht separat gezählt. | F | 1,10 |
Hydrotreating von Kerosin/Diesel | Sättigung von Aromaten, konventionelles Hydrotreating, Hydrierung von Aromaten, die zur Verwendung als Lösemittel bestimmt sind, konventionelles Destillat-Hydrotreating, High-Severity-Destillat-Hydrotreating, Ultra-High-Severity-Hydrotreating, Entwachsen von Mitteldestillat, S-Zorb™-Verfahren, selektives Hydrotreating von Destillaten | F | 0,90 |
Hydrotreating von Rückständen | Entschwefelung des atmosphärischen Rückstands, Entschwefelung des Vakuumrückstands | F | 1,55 |
VGO-Hydrotreating | Hydrodesulfurierung/ Denitrifikation, Hydrodesulfurierung | F | 0,90 |
Wasserstoffherstellung | Dampfmethanreforming, Dampfnaphthareforming, Anlagen für die partielle Oxidation von Naphta oder anderen leichten Einsatzprodukten. Der Faktor für die Wasserstoffherstellung umfasst Energie und Emissionen für Reinigung (H2PURE), aber die Kapazität wird nicht separat gezählt. | P | 300,00 |
Katalytisches Reforming | Kontinuierliche Regeneration, cyclisch, semi-regenerativ, AROMAX | F | 4,95 |
Alkylierung | Alkylierung mit Flusssäure, Alkylierung mit Schwefelsäure, Polymerisierung des C3-Olefin-Einsatzstoffs, Polymerisierung des C3/C4-Einsatzstoffs, Dimersol Der Faktor für die Alkylierung/Polymerisierung umfasst Energie und Emissionen der Säureregeneration (ACID), aber die Kapazität wird nicht separat gezählt. | P | 7,25 |
C4-Isomerisierung | C4-Isomerisierung Der Faktor umfasst Energie und Emissionen der besonderen Fraktionierung (DIB) in Zusammenhang mit C4-Isomerisierung auf Basis des EU27-Durchschnitts. | R | 3,25 |
C5/C6-Isomerisierung | C5/C6-Isomerisierung Der Faktor umfasst Energie und Emissionen der besonderen Fraktionierung (DIH) in Zusammenhang mit C5-Isomerisierung auf Basis des EU27-Durchschnitts. | R | 2,85 |
Oxygenat-Produktion | MBTE-Destillationsanlagen, MTBE- Extraktionsanlagen, ETBE, TAME, Isoocten-Produktion | P | 5,60 |
Propylenproduktion | Chemical Grade, Polymer Grade | F | 3,45 |
Asphaltherstellung | Asphalt- und Bitumenherstellung Die Produktionszahl sollte polymermodifiziertes Bitumen umfassen. Der CWT-Faktor umfasst Blasverfahren. | P | 2,10 |
Mischen von polymermodifizierten Bitumina | Mischen von polymermodifizierten Bitumina | P | 0,55 |
Schwefelrückgewinnung | Schwefelrückgewinnung Der Faktor für Schwefelrückgewinnung umfasst Energie und Emissionen der Tailgasreinigung (TRU) und der H2S-Springer-Anlage (U32), aber die Kapazität wird nicht separat gezählt. | P | 18,60 |
Lösemittelextraktion von Aromaten | ASE: Extraktive Destillation, ASE: Flüssig-Flüssig-Extraktion, ASE: Flüssig-Flüssig-Extraktion mit extraktiver Destillation Der CWT-Faktor deckt alle Einsatzstoffe ab, einschließlich Pyrolysebenzin nach Hydrotreating. Pyrolysebenzin-Hydrotreating sollte unter Naphtha-Hydrotreating erfasst werden. | F | 5,25 |
Hydrodesalkylierung | Hydrodesalkylierung | F | 2,45 |
TDP/TDA | Toluol-Disproportionierung/Desalkylierung | F | 1,85 |
Cyclohexanproduktion | Cyclohexanproduktion | P | 3,00 |
Xylol-Isomerisierung | Xylol-Isomerisierung | F | 1,85 |
p-Xylolproduktion | p-Xylol-Adsorption, p-Xylol-Kristallisation Der Faktor umfasst auch Energie und Emissionen für Xylol-Splitter‑ und o‑Xylol-Rerun-Kolonne. | P | 6,40 |
m-Xylolproduktion | m-Xylolproduktion | P | 11,10 |
Produktion von Phthalsäureanhydrid | Produktion von Phthalsäureanhydrid | P | 14,40 |
Produktion von Maleinsäureanhydrid | Produktion von Maleinsäureanhydrid | P | 20,80 |
Ethylbenzolproduktion | Ethylbenzolproduktion Der Faktor umfasst auch Energie und Emissionen für Ethylbenzoldestillation. | P | 1,55 |
Cumolproduktion | Cumolproduktion | P | 5,00 |
Phenolproduktion | Phenolproduktion | P | 1,15 |
Lösemittelextraktion von Schmierölen | Lösemittelextraktion von Schmierölen: Lösemittel ist Furfural, Lösemittel ist NMP, Lösemittel ist Phenol, Lösemittel ist SO2 | F | 2,10 |
Lösemittelentwachsung von Schmierölen | Lösemittelentwachsung von Schmierölen: Lösemittel ist Chlorcarbon, Lösemittel ist MEK/Toluol, Lösemittel ist MEK/MIBK, Lösemittel ist Propan | F | 4,55 |
Katalytische Wachsisomerisierung | Katalytische Wachsisomerisierung und Entwachsen, selektives Wax-Cracking | F | 1,60 |
Schmieröl-Hydrocracker | Schmieröl-Hydrocracker mit Multifraktionsdestillation, Schmieröl-Hydrocracker mit Vakuumstripper | F | 2,50 |
Wachsentölung | Wachsentölung: Lösemittel ist Chlorcarbon, Lösemittel ist MEK/Toluol, Lösemittel ist MEK/MIBK, Lösemittel ist Propan | P | 12,00 |
Schmieröl-/Wachs- Hydrotreating | Schmiermittel-Hydrofining mit Vakuumstripper, Schmieröl-Hydrotreating mit Multifraktionsdestillation, Schmieröl-Hydrotreating mit Vakuumstripper, Wachs Hydrofining mit Vakuumstripper, Wachs-Hydrotreating mit Multifraktionsdestillation, Wachs-Hydrotreating mit Vakuumstripper | F | 1,15 |
Lösemittel-Hydrotreating | Lösemittel-Hydrotreating | F | 1,25 |
Lösemittelfraktionierung | Lösemittelfraktionierung | F | 0,90 |
Molsieb für C10+-Paraffine | Molsieb für C10+-Paraffine | P | 1,85 |
Partielle Oxidation von Rückständen (POX) für Brennstoffe | POX-Synthesegas für Brennstoffe | SG | 8,20 |
Partielle Oxidation von Rückständen (POX) für Wasserstoff oder Methanol | POX-Synthesegas für Wasserstoff oder Methanol, POX-Synthesegas für Methanol Der Faktor umfasst Energie und Emissionen für CO2-Shift-Reaktion und H2-Reinigung (U71), aber die Kapazität wird nicht separat gezählt. | SG | 44,00 |
Methanol aus Synthesegas | Methanol | P | -36,20 |
Luftzerlegung | Luftzerlegung | P (MNm3 O2) | 8,80 |
Fraktionierung von gekauftem LNG | Fraktionierung von gekauftem LNG | F | 1,00 |
Rauchgasentschwefelung und ‑entstickung | DeSOx und deNOx | F (MNm3) | 0,10 |
Behandlung und Kompression von Brenngas zum Verkauf | Behandlung und Kompression von Brenngas zum Verkauf | kW | 0,15 |
Meerwasserentsalzung | Meerwasserentsalzung | P | 1,15 |
- Bezug der CWT-Faktoren: Nettomenge frische Einsatzstoffe (F), Reaktoreinsatz (R, mit Recyclat), Produktstrom (P), Synthesegasproduktion aus der Schwerölvergasung (SG)
- 2. Referenzwert „Aromaten“: CWT-Funktionen
CWT-Funktion | Beschreibung | Basis (Kilotonnen pro Jahr) | CWT-Faktor |
Hydrotreating von Naphtha/Gasöl | Benzolsättigung, Entschwefelung von C4–C6-Einsatzstoffen, konventionelles Hydrotreating von Naphtha, Sättigung von Dienen zu Olefinen, Sättigung von Dienen zu Olefinen des Alkylierungs-Einsatzstoffs, Hydrotreating von FCC-Gasöl mit minimalem Oktanverlust, olefinische Alkylierung von Thio S, S-Zorb™-Verfahren, selektives Hydrotreating von Pyrolysebenzin/Naphtha, Entschwefelung von Pyrolysebenzin/Naphtha, selektives Hydrotreating von Pyroloysebenzin/Naphtha. Der Naphtha-Hydrotreating-Faktor umfasst Energie und Emissionen des Reaktors für selektives Hydrotreating (NHYT/RXST), aber die Kapazität wird nicht separat gezählt. | F | 1,10 |
Lösemittelextraktion von Aromaten | ASE: Extraktive Destillation, ASE: Flüssig-Flüssig-Extraktion, ASE: Flüssig-Flüssig-Extration mit extraktiver Destillation Der CWT-Faktor deckt alle Einsatzstoffe ab, einschließlich Pyroloysebenzin nach Hydrotreating. Pyrolysebenzin-Hydrotreating sollte unter Naphtha-Hydrotreating erfasst werden. | F | 5,25 |
TDP/TDA | Toluol-Disproportionierung/Desalkylierung | F | 1,85 |
Hydrodesalkylierung | Hydrodesalkylierung | F | 2,45 |
Xylol-Isomerisierung | Xylol-Isomerisierung | F | 1,85 |
p-Xylolproduktion | p-Xylol-Adsorption, p-Xylol-Kristallisation Der Faktor umfasst auch Energie und Emissionen für Xylol-Splitter und o-Xylol-Rerun-Kolonne. | P | 6,40 |
Cyclohexanproduktion | Cyclohexanproduktion | P | 3,00 |
Cumolproduktion | Cumolproduktion | P | 5,00 |
Bezug der CWT-Faktoren: Nettomenge frische Einsatzstoffe (F), Produktstrom (P)
Abschnitt 3: Historische Aktivitätsraten für bestimmte Produkt-Referenzwerte gemäß § 6 Abs. 7
- 1. Für Produkte, für die der Produkt-Referenzwert „Raffinerieprodukte“ gemäß Abschnitt 1 gilt, ist die produktbezogene historische Aktivitätsrate im Bezugszeitraum auf der Grundlage der verschiedenen CWT-Funktionen und deren Definitionen, des Durchsatzes sowie der in Abschnitt 2 aufgeführten CWT-Faktoren nach folgender Formel zu bestimmen:
- Dabei ist
HARCWT: | Historische Aktivitätsrate, ausgedrückt in CWT |
DSi,k: | Durchsatz der CWT-Funktion i im Jahr k des Bezugszeitraums |
CWTi: | CWT-Faktor der CWT-Funktion i |
DSRD,k: | Durchsatz der CWT-Funktion „Rohöldestillation“ im Jahr k des Bezugszeitraums |
- 2. Für Produkte, für die der Produkt-Referenzwert „Kalk“ gemäß Abschnitt 1 gilt, ist die produktbezogene historische Aktivitätsrate im Bezugszeitraum anhand folgender Formel zu bestimmen:
- /Dokumente/Bundesnormen/NOR40134863/image003.pngDabei ist
HARKalk,Standard: | Historische Aktivitätsrate der Kalkgewinnung, ausgedrückt in Tonnen Kalk in Standardreinheit |
mCaO,k: | Gehalt an freiem CaO in dem im Jahr k des Bezugszeitraums gewonnenen Kalk, ausgedrückt als Massenanteil in Prozent Liegen keine Daten zum Gehalt an freiem CaO vor, so wird eine konservative Schätzung von nicht weniger als 85% angewandt. |
mMgO,k: | Gehalt an freiem MgO in dem im Jahr k des Bezugszeitraums gewonnenen Kalk, ausgedrückt als Massenanteil in Prozent Liegen keine Daten zum Gehalt an freiem MgO vor, so wird eine konservative Schätzung von nicht weniger als 0,5% angewandt. |
HARKalk, unberichtigt,k: | Unberichtigte historische Aktivitätsrate der Kalkgewinnung im Jahr k des Bezugszeitraums, ausgedrückt als Tonnen Kalk |
- 3. Für Produkte, für die der Produkt-Referenzwert „Dolomitkalk“ gemäß Abschnitt 1 gilt, ist die produktbezogene historische Aktivitätsrate im Bezugszeitraum nach folgender Formel zu bestimmen:
- Dabei ist
HARDolomitkalk,Standard: | Historische Aktivitätsrate der Dolomitkalkgewinnung, ausgedrückt in Tonnen Dolomitkalk in Standardreinheit |
mCaO,k: | Gehalt an freiem CaO in dem im Jahr k des Bezugszeitraums gewonnenen Dolomitkalk, ausgedrückt als Massenanteil in Prozent Liegen keine Daten zum Gehalt an freiem CaO vor, so wird eine konservative Schätzung von nicht weniger als 52% angewandt. |
mMgO,k: | Gehalt an freiem MgO in dem im Jahr k des Bezugszeitraums gewonnenen Dolomitkalk, ausgedrückt als Massenanteil in Prozent Liegen keine Daten zum Gehalt an freiem MgO vor, so wird eine konservative Schätzung von nicht weniger als 33% angewandt. |
HARDolomitkalk,unberichtigt,k: | Unberichtigte historische Aktivitätsrate der Dolomitkalkgewinnung im Jahr k des Bezugszeitraums, ausgedrückt als Tonnen Kalk |
- 4. Für Produkte, für die der Produkt-Referenzwert „Steamcracken“ gemäß Abschnitt 1 gilt, ist die produktbezogene historische Aktivitätsrate im Bezugszeitraum nach folgender Formel zu bestimmen:
- Dabei ist
HARcWP,netto: | Historische Aktivitätsrate für chemische Wertprodukte ohne chemische Wertprodukte aus zusätzlichem Einsatzgut, ausgedrückt in Tonnen chemische Wertprodukte |
HARcWP,insg.,k: | Historische Aktivitätsrate der Gesamtproduktion chemischer Wertprodukte im Jahr k des Bezugszeitraums, ausgedrückt in Tonnen chemische Wertprodukte |
HZEH,k: | Historischer zusätzlicher Einsatz von Wasserstoff im Jahr k des Bezugszeitraums, ausgedrückt in Tonnen Wasserstoff |
HZEE,k: | Historischer zusätzlicher Einsatz von Ethen im Jahr k des Bezugszeitraums, ausgedrückt in Tonnen Ethen |
HZEO,k: | Historischer zusätzlicher Einsatz anderer chemischer Wertprodukte als Wasserstoff und Ethen im Jahr k des Bezugszeitraums, ausgedrückt in Tonnen chemische Wertprodukte |
- 5. Für Produkte, für die der Produkt-Referenzwert „Aromaten“ gemäß Abschnitt 1 gilt, ist die produktbezogene historische Aktivitätsrate im Bezugszeitraum auf der Grundlage der verschiedenen CWT-Funktionen und deren Definitionen, des Durchsatzes sowie der in Abschnitt 2 aufgeführten CWT-Faktoren nach folgender Formel zu bestimmen:
- Dabei ist
HARCWT: | Historische Aktivitätsrate, ausgedrückt in CWT |
DSi,k: | Durchsatz der CWT-Funktion i im Jahr k des Bezugszeitraums |
CWTi: | CWT-Faktor der CWT-Funktion i |
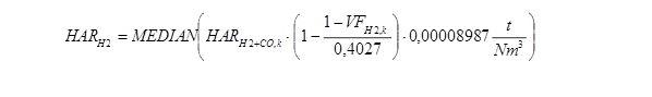
- 6. Für Produkte, für die der Produkt-Referenzwert „Wasserstoff“ gemäß Abschnitt 1 gilt, ist die produktbezogene historische Aktivitätsrate im Bezugszeitraum nach folgender Formel zu bestimmen:
- Dabei ist
HARH2: | Historische Aktivitätsrate der Wasserstoffherstellung, bezogen auf 100% Wasserstoff |
VFH2,k: | Historische Produktion Volumenfraktion reiner Wasserstoff im Jahr k des Bezugszeitraums |
HARH2+CO,k: | Historische Aktivitätsrate der Wasserstoffherstellung, bezogen auf den historischen Wasserstoffgehalt, ausgedrückt in Normkubikmetern pro Jahr (Normbedingungen sind 0°C und 101,325 kPa) im Jahr k des Bezugszeitraums |
- 7. Für Produkte, für die der Produkt-Referenzwert „Synthesegas“ gemäß Abschnitt 1 gilt, ist die produktbezogene historische Aktivitätsrate im Bezugszeitraum nach folgender Formel zu bestimmen:
- Dabei ist
HARSynthesegas: | Historische Aktivitätsrate der Synthesegasherstellung, bezogen auf 47% Wasserstoff |
VFH2,k: | Historische Produktion Volumenfraktion reiner Wasserstoff im Jahr k des Bezugszeitraums |
HARH2+CO,k: | Historische Aktivitätsrate der Synthesegasherstellung, bezogen auf den historischen Wasserstoffgehalt, ausgedrückt in Normkubikmetern pro Jahr (Normbedingungen sind 0°C und 101,325 kPa) im Jahr k des Bezugszeitraums |
- 8. Für Produkte, für die der Produkt-Referenzwert „Ethylenoxid/Ethylenglycole“ gemäß Abschnitt 1 gilt, ist die produktbezogene historische Aktivitätsrate im Bezugszeitraum nach folgender Formel zu bestimmen:
- Dabei ist
HAREO/EG: | Historische Aktivitätsrate für die Produktion von Ethylenoxid / Ethylenglycolen, ausgedrückt in Tonnen Ethylenoxidäquivalent |
HARi,k: | Historische Aktivitätsrate für die Produktion von Ethylenoxid / Ethylenglycolen i im Jahr k des Bezugszeitraums, ausgedrückt in Tonnen |
UFEOE,i | Faktor für die Umrechnung des Ethylenoxids oder Ethylenglycols i auf Ethylenoxid Folgende Umrechnungsfaktoren werden angewandt: Ethlyenoxid: 1,000 Monoethylenglycol: 0,710 Diethylenglycol: 0,830 Triethylenglycol: 0,880 |
Schlagworte
Hochtemperatur, Druckfestigkeit, Durchlässigkeit, Bauschutt, Kohletrocknung, Feinkohlestaub, Behältervorheizung, Vorwärmeeinrichtung, Aluminiumelektrolyse, Dampfgenerator, Konvertergaskühlung, Fertigmischung, Durchschnittsanteil, Altpappe, Anodenbrennofen, Rauchgasentstickung, Calciumoxid, Arbeitswanne, Beleuchtungskommission, Sulfatverfahren, Zellstoffproduktionsprozess, Vormauerziegel, Laugenrückgewinnungskessel, Materialhandhabung, Untergruppe, Zeitungsdruckpapier, Zellstoffproduktion, Mineralwolleprodukt, Kosmetiktuch, Altfaser, Flugturbinenkraftstoff, Elektrolichtbogenverfahren, Kohlenstoffstahl, Wärmedämmung, Produktgemisch, Gesamtproduktmenge, Vakuumfraktionierungskolonne, Wandfliese, Hochdruck, Offsetdruck, Papiermaschine, Druckzweck, Kopierpapier, Briefpapier, Tissuepapier, Frischfaser, Gasruß, Benzolextraktion, Toluolextraktion, Xylolextraktion, Eintrittspunkt, Vertikalbetrieb, Asphaltherstellung
Zuletzt aktualisiert am
19.04.2021
Gesetzesnummer
20007620
Dokumentnummer
NOR40134863
Lizenziert vom RIS (ris.bka.gv.at - CC BY 4.0 DEED)
