vorheriges Dokument
nächstes Dokument

2.3.1 Punktelastizität

Haeseler/Kirchberger2. AuflSeptember 2005

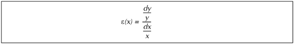
Die Punktelastizität wird zur Ermittlung von Elastizitäten von Funktionen verwendet und wie folgt berechnet:

Mittels Umformung kann die Elastizität auch wie folgt angeschrieben werden:

Sie möchten den gesamten Inhalt lesen?

Melden Sie sich bei Lexis 360® an.
Anmelden

Sie haben noch keinen Zugang?
Testen Sie Lexis 360® zwei Wochen kostenlos!
Jetzt testen!