55. Verordnung der Finanzmarktaufsichtsbehörde (FMA), mit der die FMA-Kostenverordnung geändert wird
Auf Grund
- 1. des § 19 Abs. 7 des Finanzmarktaufsichtsbehördengesetzes - FMABG, BGBl. I Nr. 97/2011, zuletzt geändert durch das Bundesgesetz BGBl. I Nr. 98/2014,
- 2. des § 69a des Bankwesengesetzes - BWG, BGBl. Nr. 532/1993, zuletzt geändert durch das Bundesgesetz BGBl. I Nr. 98/2014,
- 3. des § 160 des Bundesgesetzes über die Sanierung und Abwicklung von Banken - BaSAG, BGBl. I Nr. 98/2014,
- 4. des § 117 Abs. 3 des Versicherungsaufsichtsgesetzes - VAG, BGBl. 569/1978, zuletzt geändert durch Bundesgesetz BGBl. I Nr. 42/2014 und Kundmachung BGBl. II Nr. 226/2014,
- 5. des § 90 Abs. 2 des Wertpapieraufsichtsgesetzes 2007 - WAG 2007, BGBl. I Nr. 60/2007, zuletzt geändert durch Bundesgesetz BGBl. I Nr. 98/2014,
- 6. des § 56 Abs. 6 des Alternative Investmentfonds Manager-Gesetzes - AIFMG, BGBl. I Nr. 135/2013 (Art. II), zuletzt geändert durch Bundesgesetz BGBl. I Nr. 98/2014,
wird verordnet:
Die FMA-Kostenverordnung - FMA-KVO, BGBl. II Nr. 340/2003, zuletzt geändert durch die Verordnung BGBl. II Nr. 302/2013, wird wie folgt geändert:
1. § 3 Abs. 1 Z 1 lautet:
- „1. Kostenpflichtige
- a) aa) gemäß § 69a Abs. 1 Z 1 bis 3 BWG, die
- bb) gemäß § 69a Abs. 8 BWG, die Repräsentanzen gemäß § 2 Z 17 BWG sind,
- cc) gemäß § 60 Abs. 1 ZaDiG, die
- dd) gemäß § 22 Abs. 2 des E-Geldgesetzes 2010, die
- b) aa) gemäß § 160 Abs. 1 Z 1 BaSAG, die Institute gemäß § 2 Z 23 in Verbindung mit § 2 Z 2 oder 3 BaSAG sind und aufgrund § 4 BWG Bankgeschäfte betreiben,
- bb) gemäß § 160 Abs. 1 Z 2 BaSAG, die Finanzholdinggesellschaften gemäß § 2 Z 9 BaSAG oder gemischte Finanzholdinggesellschaften gemäß § 2 Z 10 BaSAG sind, sofern sie Teil einer Kreditinstitutsgruppe gemäß § 30 BWG sind;“
- Kreditinstitute gemäß § 1 Abs. 1 BWG sind oder
- Kreditinstitute gemäß § 9 Abs. 1 BWG sind und Tätigkeiten in Österreich über eine Zweigstelle ausüben oder
- Finanzholdinggesellschaften gemäß Art. 4 Abs. 1 Nummer 20 der Verordnung (EU) Nr. 575/2013 oder gemischte Finanzholdinggesellschaften gemäß § 2 Z 15 des Finanzkonglomerategesetzes - FKG, BGBl. I Nr. 70/2004, sind, sofern sie Teil einer Kreditinstitutsgruppe gemäß § 30 BWG sind,
- Zahlungsinstitute gemäß § 3 Z 4 lit. a ZaDiG sind oder
- Zweigstellen gemäß § 12 ZaDiG sind,
- E-Geld-Institute gemäß § 3 Abs. 2 des E-Geldgesetzes 2010 sind oder
- Zweigstellen gemäß § 9 des E-Geldgesetzes 2010 sind,
2. Dem § 6 Abs. 1 Z 1 wird folgende lit. d angefügt:
- „d) § 160 Abs. 1 BaSAG in Verbindung mit § 69a Abs. 2 BWG in Verbindung mit § 74 Abs. 2 BWG,“
3. § 7 lautet:
„§ 7. (1) Die FMA hat die Basis der Berechnung der Kosten festzusetzen, wenn die für die Kostenbemessung erforderlichen Datenmeldungen gemäß § 6
- 1. mangels Basisdaten nicht erstattet werden konnten oder mangels Meldepflicht gemäß § 74 BWG nicht erstattet werden mussten oder
- 2. pflichtwidrig nicht, nicht rechtzeitig oder nicht vollständig übermittelt worden sind.
(2) Im Fall des Abs. 1 Z 1 hat die FMA den Kostenanteil eines Kostenpflichtigen in Höhe der Beträge gemäß Abs. 4 und § 11 Abs. 3 Z 3 festzusetzen.
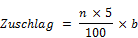
(3) Im Fall des Abs. 1 Z 2 hat die FMA eine Berechnung des Kostenanteils auf Basis der letztvorliegenden Datenmeldung zuzüglich eines Zuschlages vorzunehmen. Der Zuschlag berechnet sich wie folgt:
- 1. n ist die Anzahl der lückenlos aufeinander folgenden Jahre, für die die FMA die Basis der Berechnung der Kosten auf Basis der letztvorliegenden Datenmeldung festzusetzen hat;
- 2. b ist die für die letzte Vorperiode für den jeweiligen Kostenpflichtigen errechenbare Bemessungsgrundlage.
(4) Liegen für einen Kostenpflichtigen keine Datenmeldungen aus Vorperioden vor, so hat die FMA den Kostenanteil
- 1. eines Kreditinstituts oder sonstigen Kostenpflichtigen gemäß § 3 Abs. 1 Z 1 mit dem Mindestbetrag gemäß § 69a Abs. 4 BWG,
- 2. eines Zahlungsinstitutes mit dem Mindestbetrag gemäß § 60 Abs. 4 ZaDiG,
- 3. eines E-Geld-Institutes mit einem Mindestbetrag gemäß § 60 Abs. 4 ZaDiG,
- 4. einer Versicherung mit der Mindestgebühr gemäß § 117 Abs. 3 VAG in Verbindung mit § 7 Abs. 6,
- 5. einer Pensionskasse mit dem sich aus § 35 Abs. 1 Z 1 PKG ergebenden Betrag,
- 6. eines meldepflichtigen Instituts gemäß § 11 Abs. 3 Z 1,
- 7. eines Emittenten gemäß § 11 Abs. 3 Z 2,
- 8. einer zentralen Gegenpartei mit der Mindestpauschale gemäß § 11 Abs. 3 Z 4,
- 9. eines Clearingmitgliedes mit der Mindestpauschale gemäß § 11 Abs. 3 Z 5,
- 10. eines der in § 3 Abs. 1 Z 3 lit. f genannten Kostenpflichtigen mit der Mindestpauschale gemäß § 11 Abs. 3 Z 6 oder 7
festzusetzen.
(5) Im Falle des Abs. 4 ist die FMA berechtigt, den Kostenanteil eines Kostenpflichtigen, dem eine Konzession zur Erbringung von Wertpapierdienstleistungen gemäß § 3 Abs. 2 WAG 2007 erteilt wurde, auf Grundlage der im Rahmen der Konzessionierung gemäß § 3 Abs. 8 WAG 2007 in Verbindung mit § 4 Abs. 3 Z 3 BWG vorzulegenden Budgetrechnung festzusetzen. § 16 bleibt hierbei unberührt.
(6) Die betragliche Mindestgebühr gemäß § 117 Abs. 3 VAG wird mit 250 Euro festgesetzt.“
4. Artikel II §§ 9a und 10 samt Überschriften lautet:
„Artikel II
Besonderer Teil
Rechnungskreis 1
Subrechnungskreise
§ 9a. Der Rechnungskreis 1 (Bankenaufsicht) besteht aus folgenden Kostenpflichtigen, die jeweils einen eigenen Subrechnungskreis bilden:
- 1. Subrechnungskreis 1, dem die nicht aufgrund des BaSAG Kostenpflichtigen gemäß § 3 Abs. 1 Z 1 lit. a zugeordnet sind;
- 2. Subrechnungskreis 2, dem die aufgrund des BaSAG Kostenpflichtigen gemäß § 3 Abs. 1 Z 1 lit. b zugeordnet sind.
Rechnungskreis 3
Subrechnungskreise
§ 10. Der Rechnungskreis 3 (Wertpapieraufsicht) besteht aus folgenden Kostenpflichtigen, die jeweils einen eigenen Subrechnungskreis bilden:
- 1. Subrechnungskreis 1, dem die meldepflichtigen Institute gemäß § 3 Abs. 1 Z 3 lit. a zugeordnet sind;
- 2. Subrechnungskreis 2, dem die Emittenten mit Ausnahme des Bundes gemäß § 3 Abs. 1 Z 3 lit. b zugeordnet sind;
- 3. Subrechnungskreis 3, dem die Erbringer von Wertpapierdienstleistungen gemäß § 3 Abs. 1 Z 3 lit. c zugeordnet sind;
- 4. Subrechnungskreis 4, dem die zentralen Gegenparteien gemäß § 3 Abs. 1 Z 3 lit. d zugeordnet sind;
- 5. Subrechnungskreis 5, dem die Clearingmitglieder gemäß § 3 Abs. 1 Z 3 lit. e zugeordnet sind;
- 6. Subrechnungskreis 6, dem die Verwalter kollektiver Portfolios gemäß § 3 Abs. 1 Z 3 lit. f zugeordnet sind.“
5. § 11 Abs. 3 Z 6 lautet:
„6. Verwalter kollektiver Portfolios gemäß § 10 Z 6, soweit diese nicht ausschließlich
registrierte AIFM gemäß § 3 Abs. 1 Z 3 lit. f sind 1 000 Euro;“
6. Dem § 21 wird folgender Abs. 10 angefügt:
„(10) § 3 Abs. 1 Z 1, § 6 Abs. 1 Z 1 lit. d, §§ 7, 9a und 10 samt Überschriften sowie § 11 Abs. 3 Z 6 in der Fassung der Verordnung BGBl. II Nr. 55/2015 treten mit 18. März 2015 in Kraft. § 3 Abs. 1 Z 1 in Verbindung mit § 9 ist erstmalig auf Vorauszahlungen der Kostenpflichtigen im Subrechnungskreis 2 des Rechnungskreises 1 für das Geschäftsjahr 2015 nach Maßgabe von § 160 Abs. 2 BaSAG anzuwenden.“
Ettl Kumpfmüller
Lizenziert vom RIS (ris.bka.gv.at - CC BY 4.0 DEED)
