§ 20
(1) Bei Therapiebecken ist der Förderstrom wie folgt zu berechnen:
entspricht QA = A
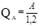
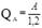
- 2. beim Aufbereitungsverfahren gemäß § 14 Z 2 lit. a nach der Formel:
entspricht
(2) Für die Personengruppe „inkontinent“ oder „erhöht infektionsgefährdet (z. B. immunsupprimiert)“ ist nur das Aufbereitungsverfahren gemäß § 14 Z 2 lit. a zulässig und nach folgender Formel zu berechnen:
entspricht
Das gesamte Beckenwasservolumen muss jedoch mindestens ein Mal pro Stunde umgewälzt werden.
(3) Der Förderstrom des Therapiebeckens hat mindestens 16 m³/h zu betragen.
Zusatzdokumente: image001, image002, image003, image004, image005
Lizenziert vom RIS (ris.bka.gv.at - CC BY 4.0 DEED)
