Anhang 2
Prüfung von Fertigpackungen
Die Prüfmethode der Eichbehörde gemäß § 13 wird wie folgt festgelegt:
1. Messung der Füllmenge der Fertigpackungen
Die Ermittlung der Füllmenge der Fertigpackungen hat entweder unmittelbar mit Hilfe von Waagen oder Volumenmeßgeräten oder, wenn es sich um eine Flüssigkeit handelt, mittelbar durch Wägung des Füllgutes und Messung von dessen Dichte zu erfolgen. Unabhängig von der verwendeten Methode darf der Fehler bei der Messung der Füllmenge einer Fertigpackung höchstens ein Fünftel der zulässigen Minusabweichung der Nennfüllmenge betragen.
2. Prüfung eines Loses von Fertigpackungen
Die Fertigpackungen werden stichprobenweise geprüft. Die Stichprobenprüfung umfaßt zwei Teile:
Die Prüfung, die sich auf die Füllmenge jeder einzelnen Fertigpackung der Stichprobe erstreckt sowie die Prüfung, die sich auf den Mittelwert der Füllmenge aller Fertigpackungen der Stichprobe erstreckt.
Ein Los von Fertigpackungen entspricht, wenn die Ergebnisse beider Prüfungen den Annahmekriterien entsprechen.
Für jede der beiden Prüfungen werden zwei Stichprobenpläne vorgesehen, die wie folgt zu verwenden sind:
Stichprobenpläne für die nicht zerstörende Prüfung (keine Öffnung der Fertigpackung) sowie
Stichprobenpläne für die zerstörende Prüfung (Öffnung und Zerstörung der Fertigpackung).
Die zerstörende Prüfung ist nur dann zulässig, wenn eine nicht zerstörende Prüfung praktisch nicht möglich ist. Sie ist bei Losen mit weniger als 100 Fertigpackungen nicht anzuwenden.
2.1. Los von Fertigpackungen
2.1.1. | Das Los besteht aus der Gesamtmenge der Fertigpackungen gleicher Füllmenge, gleichen Musters und der gleichen Herstellung, die am selben Ort abgefüllt werden und die Gegenstand der Prüfung sind. Ihre Wirkung ist auf die nachstehend festgelegten Werte begrenzt. |
2.1.2. | Werden die Fertigpackungen am Schluß des Abfüllvorganges geprüft, so entspricht der Umfang des Loses der maximalen Stundenleistung der Abfüllanlage, und zwar ohne Begrenzung des Losumfanges. In den übrigen Fällen ist die Stückzahl des Loses auf 10 000 Fertigpackungen begrenzt. |
2.1.3. | Bei Losen mit weniger als 100 Fertigpackungen erstreckt sich die nicht zerstörende Prüfung gegebenenfalls auf 100% des Losumfanges. |
2.1.4. | Für die unter den Nummern 2.2. und 2.3. vorgesehenen Prüfungen muß eine ausreichende Anzahl von Fertigpackungen dem Los in zufälliger Reihenfolge entnommen werden, damit die Prüfung durchgeführt werden kann, die die meisten Stichproben erfordert. Für die weitere Prüfung werden die erforderlichen Stichproben der ersten Stichprobe in zufälliger Reihenfolge entnommen und gekennzeichnet. Diese Kennzeichnung muß vor Beginn der Messungen erfolgt sein. |
2.2. Prüfung der Füllmenge einer Fertigpackung
- Die zulässige Mindestfüllmenge ergibt sich durch Abzug der zulässigen Minusabweichung von der Nennfüllmenge der Fertigpackung. Die Fertigpackungen eines Loses, deren tatsächliche Füllmenge geringer ist als die zulässige Mindestfüllmenge, werden als fehlerhaft bezeichnet.
2.2.1. Nicht zerstörende Prüfung
- Die nicht zerstörende Prüfung wird nach einem Doppelprüfplan durchgeführt, der in der nachstehenden Tabelle festgelegt ist:
- Die erste Anzahl der geprüften Fertigpackungen muß mit dem im Plan angegebenen Umfang der ersten Stichprobe übereinstimmen:
- Ist die Anzahl der fehlerhaften Fertigpackungen der ersten Stichprobe gleich der ersten Annahmezahl oder kleiner, so wird das Los für diese Prüfung als annehmbar angesehen. Ist die Anzahl der fehlerhaften Fertigpackungen der ersten Stichprobe gleich der ersten Ablehnungszahl oder größer, so wird das Los abgelehnt.
- Liegt die Anzahl der fehlerhaften Fertigpackungen der ersten Stichprobe zwischen der ersten Annahmezahl und der ersten Ablehnungszahl, so ist eine zweite Stichprobe zu untersuchen, deren Umfang im Plan angegeben ist.
- Die jeweilige Anzahl der fehlerhaften Fertigpackungen der ersten und zweiten Stichprobe ist zu kumulieren:
- Ist die kumulierte Anzahl der fehlerhaften Fertigpackungen gleich der zweiten Annahmezahl oder kleiner, so wird das Los für diese Prüfung als annehmbar angesehen.
- Ist die kumulierte Anzahl der fehlerhaften Fertigpackungen gleich der zweiten Ablehnungszahl oder größer, so ist das Los abzulehnen.
Losumfang | Stichprobe | Anzahl der fehlerhaften Fertigpackungen | |||
Reihenfolge | Umfang | kumulierter Umfang | Annahme-zahl | Ablehnungs-zahl | |
100-500 | 1. | 30 | 30 | 1 | 3 |
2. | 30 | 60 | 4 | 5 | |
501-3 200 | 1. | 50 | 50 | 2 | 5 |
2. | 50 | 100 | 6 | 7 | |
3 201 und mehr | 1. | 80 | 80 | 3 | 7 |
2. | 80 | 160 | 8 | 9 | |
2.2.2. Zerstörende Prüfung
- Die zerstörende Prüfung wird gemäß dem nachstehenden Einfachprüfplan durchgeführt und darf nur bei Losen verwendet werden, deren Anzahl gleich 100 oder größer ist.
- Die Anzahl der geprüften Fertigpackungen beläuft sich auf 20.
- Ist die Anzahl der fehlerhaften Fertigpackungen der Stichprobe gleich der Annahmezahl oder kleiner, so wird das Los als annehmbar angesehen.
- Ist die Anzahl der fehlerhaften Fertigpackungen der Stichprobe gleich der Ablehnungszahl oder größer, so wird das Los abgelehnt.
Losumfang | Stichprobe | Anzahl der fehlerhaften Fertigpackungen | |
Umfang | Annahme- | Ablehnungs- | |
unabhängig vom Umfang (größer oder gleich 100)…… | 20 | 1 | 2 |
2.3. Prüfung des Mittelwertes der Füllmengen eines Loses von Fertigpackungen
Zu berechnen sind:
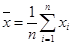
Der Mittelwert nach folgender Formel:
wobei xi die jeweils gemessenen Füllmengen der n Stichproben darstellen.
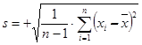
Die Standardabweichung s der gemessenen Füllmengen der Stichprobe nach folgender Formel:
Die Bestimmungen gelten als erfüllt, wenn folgende Bedingungen eingehalten werden:
Zahl für die nicht zerstörende Prüfung:
Zahl für die zerstörende Prüfung:
Schlagworte
Reihenfolge, Annahmezahl, Ablehnungszahl
Zuletzt aktualisiert am
28.03.2019
Gesetzesnummer
10012232
Dokumentnummer
NOR12153655
alte Dokumentnummer
N9199318371L
Lizenziert vom RIS (ris.bka.gv.at - CC BY 4.0 DEED)
